🇳🇴 🇬🇧 🇩🇪 🇨🇿 🇫🇮

Meteor, poloha: Tomter 2025-10-18 23:19:51 UTC

Soubor KML  |  Interaktivní mapa

Mapa zobrazuje dráhy meteoru. Světlejší čáry ukazují směry od pozorovacích stanic při objevení se meteoru a tmavší čáry, kde byl naposledy viděn. Modrá šipka značí viditelnou dráhu meteoru.

static map
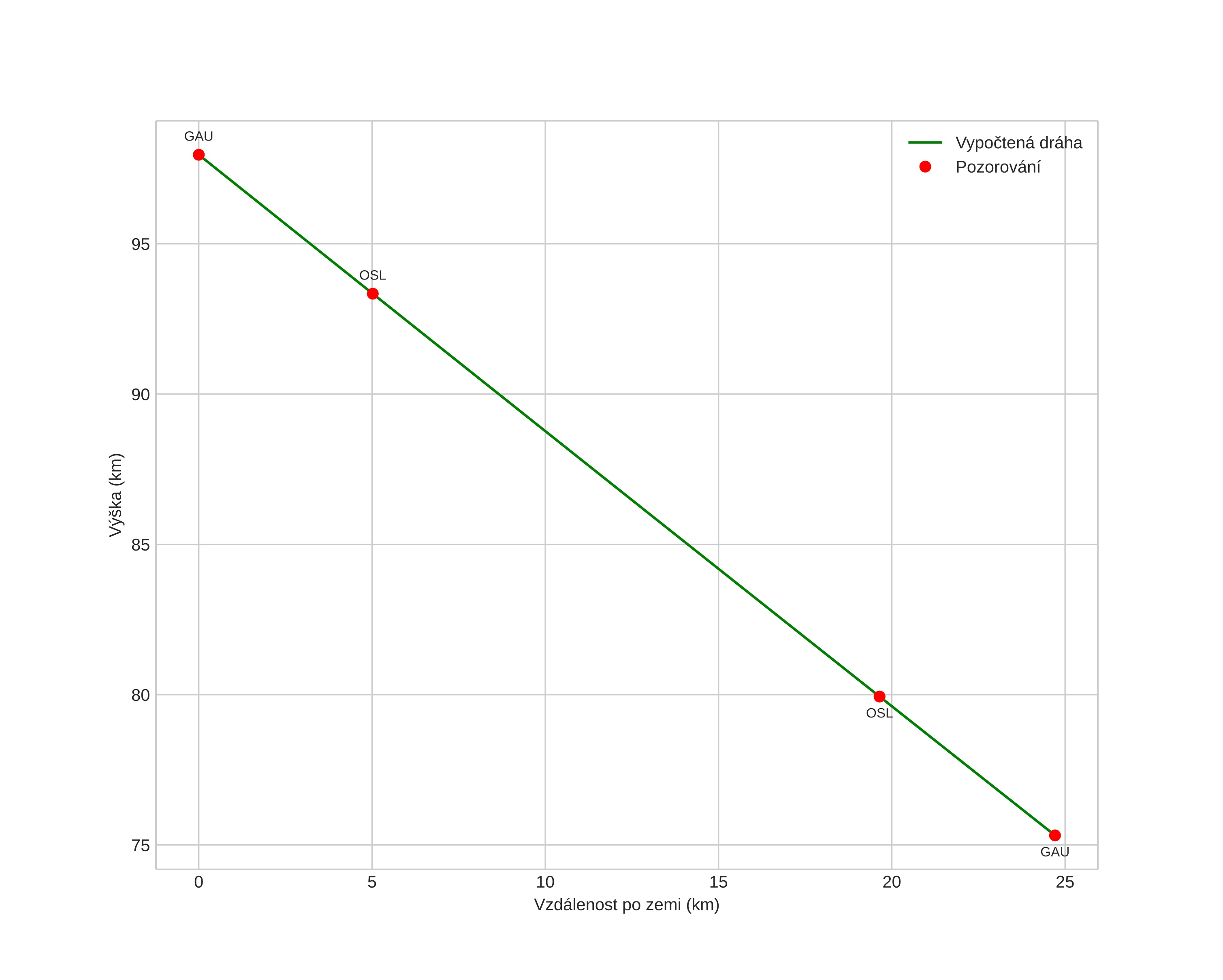
height profile
Atmosférická dráha meteoru:
Počáteční výška: 92,5 km
Konečná výška: 77,7 km
Počáteční poloha: 59,608N 11,051E
Konečná poloha: 59,751N 10,978E
Směr: 345,6°
Sklon: 42,0°
Vstupní rychlost: 31,5 km/s
Rektascenze radiantu: 02:35 (38,9°)
Deklinace radiantu: 10,4°
Meteorický roj: Jižní Tauridy
Elementy dráhy meteoroidu:
Vzdálenost v periheliu: 0,313 AU
Excentricita: 0,849
Sklon dráhy: 5,9°
Délka vzestupného uzlu: 25,5°
Argument perihelia: 119,6°
Střední anomálie: 346,2°
Epocha: 2025 OCT 18 23:19:51
orbit plot

Neinteraktivní graf | Interaktivní graf

position vs time
speed and acceleration