🇳🇴 🇬🇧 🇩🇪 🇨🇿 🇫🇮

Meteor over Tomter 2025-10-18 23:19:51 UTC

KML-fil  |  Interaktivt kart

Kartet viser peilingene for meteoren. De lysere linjene viser retningene fra observasjonsstedene for meteorens tilsynekomst, og de mørkere linjene viser hvor den sist kunne sees. Den blå pila viser meteorens synlige ferd.

static map
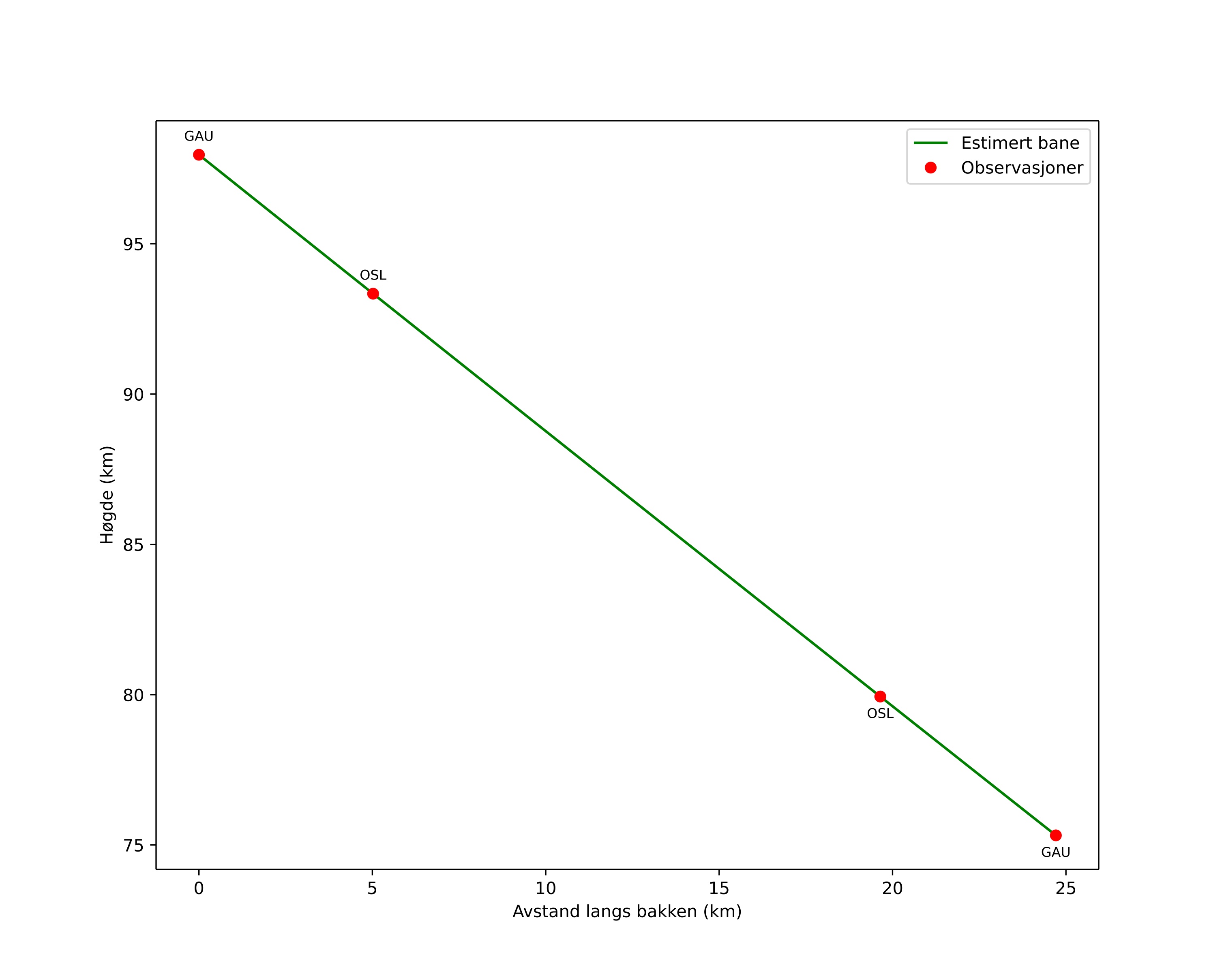
height profile
Meteorens atmosfæriske bane:
Starthøgde: 92,5 km
Slutthøgde: 77,7 km
Startposisjon: 59,608N 11,051E
Sluttposisjon: 59,751N 10,978E
Retning: 345,6°
Fallvinkel: 42,0°
Inngangshastighet: 31,5 km/s
Radiantens rektascensjon: 02:35 (38,9°)
Radiantens deklinasjon: 10,4°
Meteorsverm: Sørlige tauridene
Meteoroidens baneelement:
Perihelavstand: 0,313 AU
Eksentrisitet: 0,849
Inklinasjon: 5,9°
Knutelengde: 25,5°
Perihelargument: 119,6°
Midlere anomali: 346,2°
Epoke: 2025 OCT 18 23:19:51
orbit plot

Ikke-interaktivt plott | Interaktivt plott

position vs time
speed and acceleration

Gaustatoppen (GAU) cam3


gnomonic
Videoer
• Gnomonisk
• Gnomonisk med koordinater
• Original
• Original med koordinater
Bilder
• Gnomonisk
• Gnomonisk med koordinater
• Original
• Original med koordinater
Tekstfiler
• Deteksjon
• Observasjon
• Koordinater
• Logg
Lysstyrke

Voksenlia (OSL) cam6


gnomonic
Videoer
• Gnomonisk
• Gnomonisk med koordinater
• Original
• Original med koordinater
Bilder
• Gnomonisk
• Gnomonisk med koordinater
• Original
• Original med koordinater
Tekstfiler
• Deteksjon
• Observasjon
• Koordinater
• Logg
Lysstyrke