🇳🇴 🇬🇧 🇩🇪 🇨🇿 🇫🇮

Meteor, poloha: Innbygda 2025-10-18 23:46:05 UTC

Soubor KML  |  InteraktivnĂ­ mapa

Mapa zobrazuje dráhy meteoru. Světlejší čáry ukazují směry od pozorovacích stanic při objevení se meteoru a tmavší čáry, kde byl naposledy viděn. Modrá šipka značí viditelnou dráhu meteoru.

static map
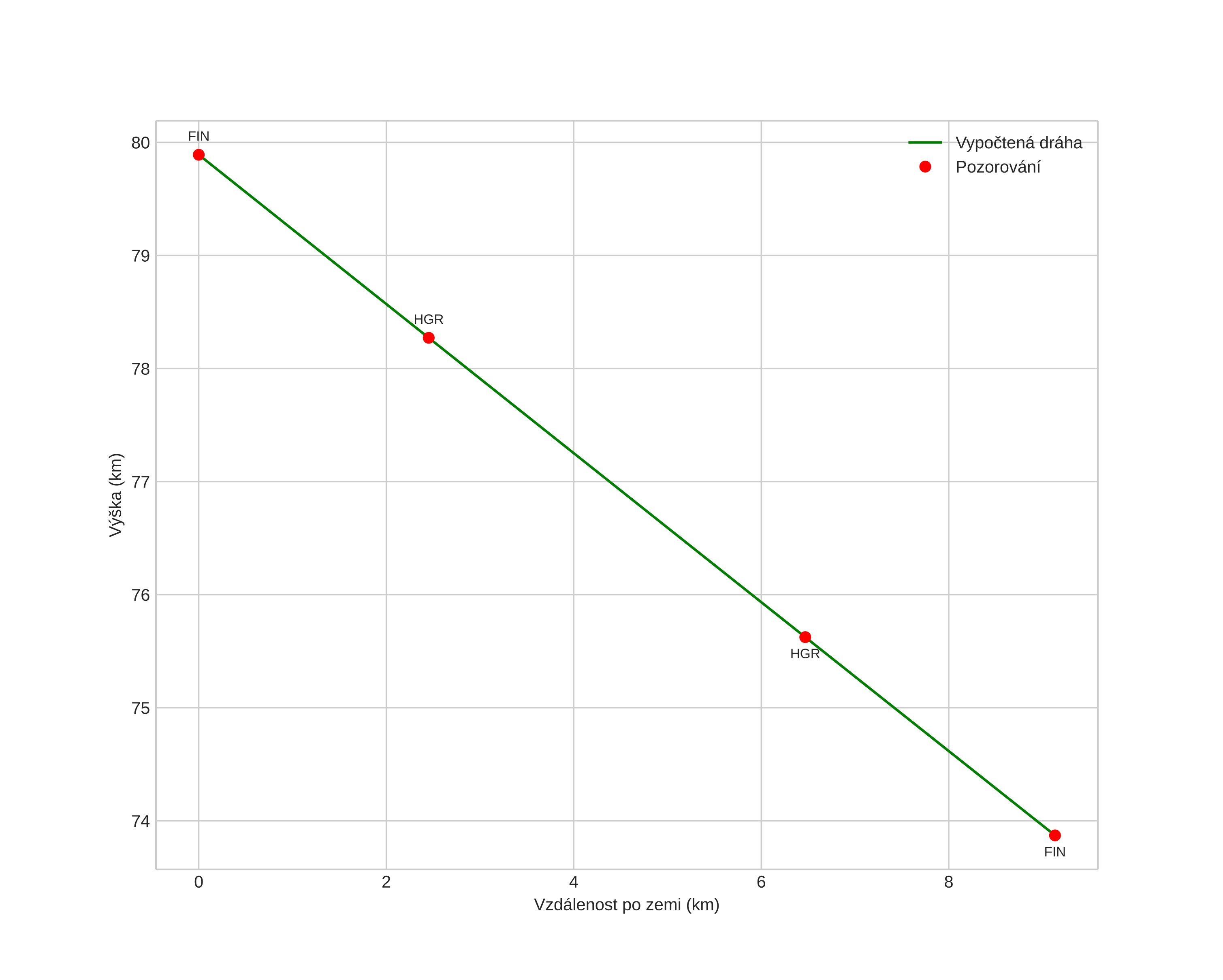
height profile
Atmosférická dráha meteoru:
Počáteční výška: 80,0 km
Konečná výška: 74,0 km
Počáteční poloha: 61,109N 12,402E
Konečná poloha: 61,170N 12,513E
Směr: 41,8°
Sklon: 33,7°
VstupnĂ­ rychlost: 17,7 km/s
Rektascenze radiantu: 23:55 (358,8°)
Deklinace radiantu: 3,3°
MeteorickĂ˝ roj: sporadickĂ˝
Elementy dráhy meteoroidu:
Vzdálenost v periheliu: 0,852 AU
Excentricita: 0,687
Sklon dráhy: 1,4°
Délka vzestupného uzlu: 205,4°
Argument perihelia: 229,9°
Střední anomálie: 352,5°
Epocha: 2025 OCT 18 23:46:05
orbit plot

NeinteraktivnĂ­ graf | InteraktivnĂ­ graf

position vs time
speed and acceleration

Finnskogen (FIN) cam6


gnomonic
Videa
• Gnomonická
• Gnomonická se souřadnicemi
• Původní
• Původní se souřadnicemi
Obrázky
• Gnomonická
• Gnomonická se souřadnicemi
• Původní
• Původní se souřadnicemi
Textové soubory
• Detekce
• Pozorování
• Souřadnice
• Protokol
Jasnost

Hagar (HGR) cam3


gnomonic
Videa
• Gnomonická
• Gnomonická se souřadnicemi
• Původní
• Původní se souřadnicemi
Obrázky
• Gnomonická
• Gnomonická se souřadnicemi
• Původní
• Původní se souřadnicemi
Textové soubory
• Detekce
• Pozorování
• Souřadnice
• Protokol
Jasnost