🇳🇴 🇬🇧 🇩🇪 🇨🇿 🇫🇮

Meteor over Ã…ros 2025-10-18 23:58:57 UTC

KML-fil

Kartet viser peilingene for meteoren. De lysere linjene viser retningene fra observasjonsstedene for meteorens tilsynekomst, og de mørkere linjene viser hvor den sist kunne sees. Den blå pila viser meteorens synlige ferd.

static map
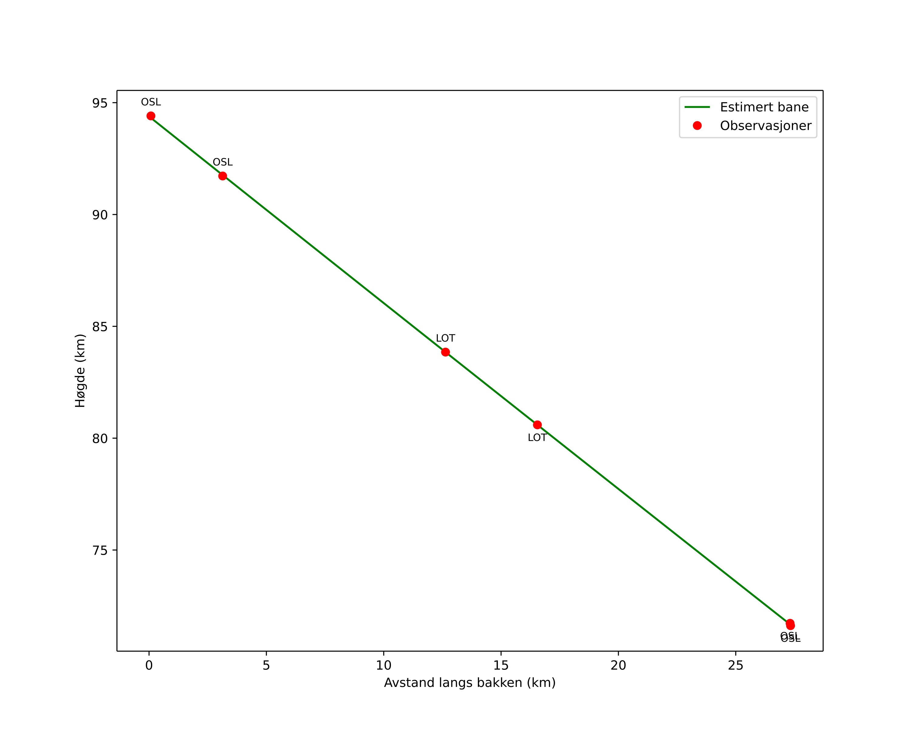
height profile
Meteorens atmosfæriske bane:
Starthøgde: 94,4 km
Slutthøgde: 71,6 km
Startposisjon: 59,444N 10,486E
Sluttposisjon: 59,689N 10,451E
Retning: 356,0°
Fallvinkel: 39,8°
Inngangshastighet: 27,3 km/s
Radiantens rektascensjon: 02:40 (40,2°)
Radiantens deklinasjon: 6,7°
Meteorsverm: Sørlige tauridene
Meteoroidens baneelement:
Perihelavstand: 0,370 AU
Eksentrisitet: 0,745
Inklinasjon: 8,8°
Knutelengde: 25,5°
Perihelargument: 118,1°
Midlere anomali: 333,7°
Epoke: 2025 OCT 18 23:58:57
orbit plot

Ikke-interaktivt plott

position vs time
speed and acceleration

Loten (LOT) cam4


gnomonic
Videoer
• Gnomonisk
• Gnomonisk med koordinater
• Original
• Original (HEVC)
• Original med koordinater
Bilder
• Gnomonisk
• Gnomonisk med koordinater
• Original
• Original med koordinater
Tekstfiler
• Deteksjon
• Observasjon
• Koordinater
• Logg
Lysstyrke

Voksenlia (OSL) cam6


gnomonic
Videoer
• Gnomonisk
• Gnomonisk med koordinater
• Original
• Original (HEVC)
• Original med koordinater
Bilder
• Gnomonisk
• Gnomonisk med koordinater
• Original
• Original med koordinater
Tekstfiler
• Deteksjon
• Observasjon
• Koordinater
• Logg
Lysstyrke

Voksenlia (OSL) cam7


gnomonic
Videoer
• Gnomonisk
• Gnomonisk med koordinater
• Original
• Original (HEVC)
• Original med koordinater
Bilder
• Gnomonisk
• Gnomonisk med koordinater
• Original
• Original med koordinater
Tekstfiler
• Deteksjon
• Observasjon
• Koordinater
• Logg
Lysstyrke