🇳🇴 🇬🇧 🇩🇪 🇨🇿 🇫🇮

Meteor, poloha: Høyanger 2025-10-19 00:48:32 UTC

Soubor KML

Mapa zobrazuje dráhy meteoru. Světlejší čáry ukazují směry od pozorovacích stanic při objevení se meteoru a tmavší čáry, kde byl naposledy viděn. Modrá šipka značí viditelnou dráhu meteoru.

static map
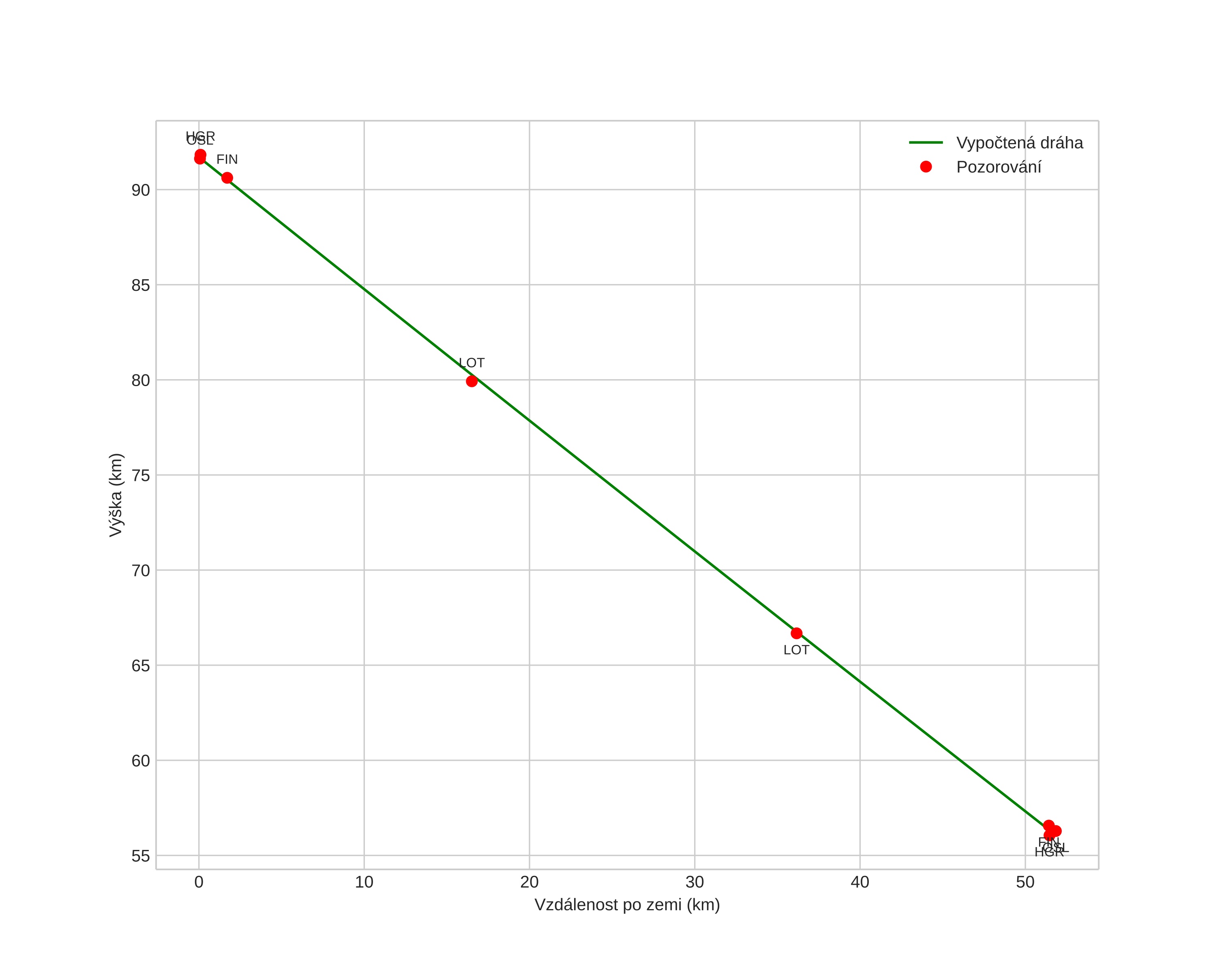
height profile
Atmosférická dráha meteoru:
Počáteční výška: 91,7 km
Konečná výška: 56,1 km
Počáteční poloha: 60,991N 5,896E
Konečná poloha: 61,448N 6,086E
Směr: 11,2°
Sklon: 34,5°
VstupnĂ­ rychlost: 28,0 km/s
Rektascenze radiantu: 02:21 (35,4°)
Deklinace radiantu: 3,2°
MeteorickĂ˝ roj: JiĹľnĂ­ Tauridy
Elementy dráhy meteoroidu:
Vzdálenost v periheliu: 0,440 AU
Excentricita: 0,788
Sklon dráhy: 9,9°
Délka vzestupného uzlu: 25,5°
Argument perihelia: 105,5°
Střední anomálie: 345,2°
Epocha: 2025 OCT 19 00:48:32
orbit plot

NeinteraktivnĂ­ graf

position vs time
speed and acceleration

Finnskogen (FIN) cam5


gnomonic
Videa
• Gnomonická
• Gnomonická se souřadnicemi
• Původní
• Původní (HEVC)
• Původní se souřadnicemi
Obrázky
• Gnomonická
• Gnomonická se souřadnicemi
• Původní
• Původní se souřadnicemi
Textové soubory
• Detekce
• Pozorování
• Souřadnice
• Protokol
Jasnost

Hagar (HGR) cam1


gnomonic
Videa
• Gnomonická
• Gnomonická se souřadnicemi
• Původní
• Původní (HEVC)
• Původní se souřadnicemi
Obrázky
• Gnomonická
• Gnomonická se souřadnicemi
• Původní
• Původní se souřadnicemi
Textové soubory
• Detekce
• Pozorování
• Souřadnice
• Protokol
Jasnost

Loten (LOT) cam5


gnomonic
Videa
• Gnomonická
• Gnomonická se souřadnicemi
• Původní
• Původní (HEVC)
• Původní se souřadnicemi
Obrázky
• Gnomonická
• Gnomonická se souřadnicemi
• Původní
• Původní se souřadnicemi
Textové soubory
• Detekce
• Pozorování
• Souřadnice
• Protokol
Jasnost

Voksenlia (OSL) cam2


gnomonic
Videa
• Gnomonická
• Gnomonická se souřadnicemi
• Původní
• Původní (HEVC)
• Původní se souřadnicemi
Obrázky
• Gnomonická
• Gnomonická se souřadnicemi
• Původní
• Původní se souřadnicemi
Textové soubory
• Detekce
• Pozorování
• Souřadnice
• Protokol
Jasnost