🇳🇴 🇬🇧 🇩🇪 🇨🇿 🇫🇮

Meteor over Elnesvågen 2025-10-19 01:51:21 UTC

KML-fil  |  Interaktivt kart

Kartet viser peilingene for meteoren. De lysere linjene viser retningene fra observasjonsstedene for meteorens tilsynekomst, og de mørkere linjene viser hvor den sist kunne sees. Den blå pila viser meteorens synlige ferd.

static map
height profile
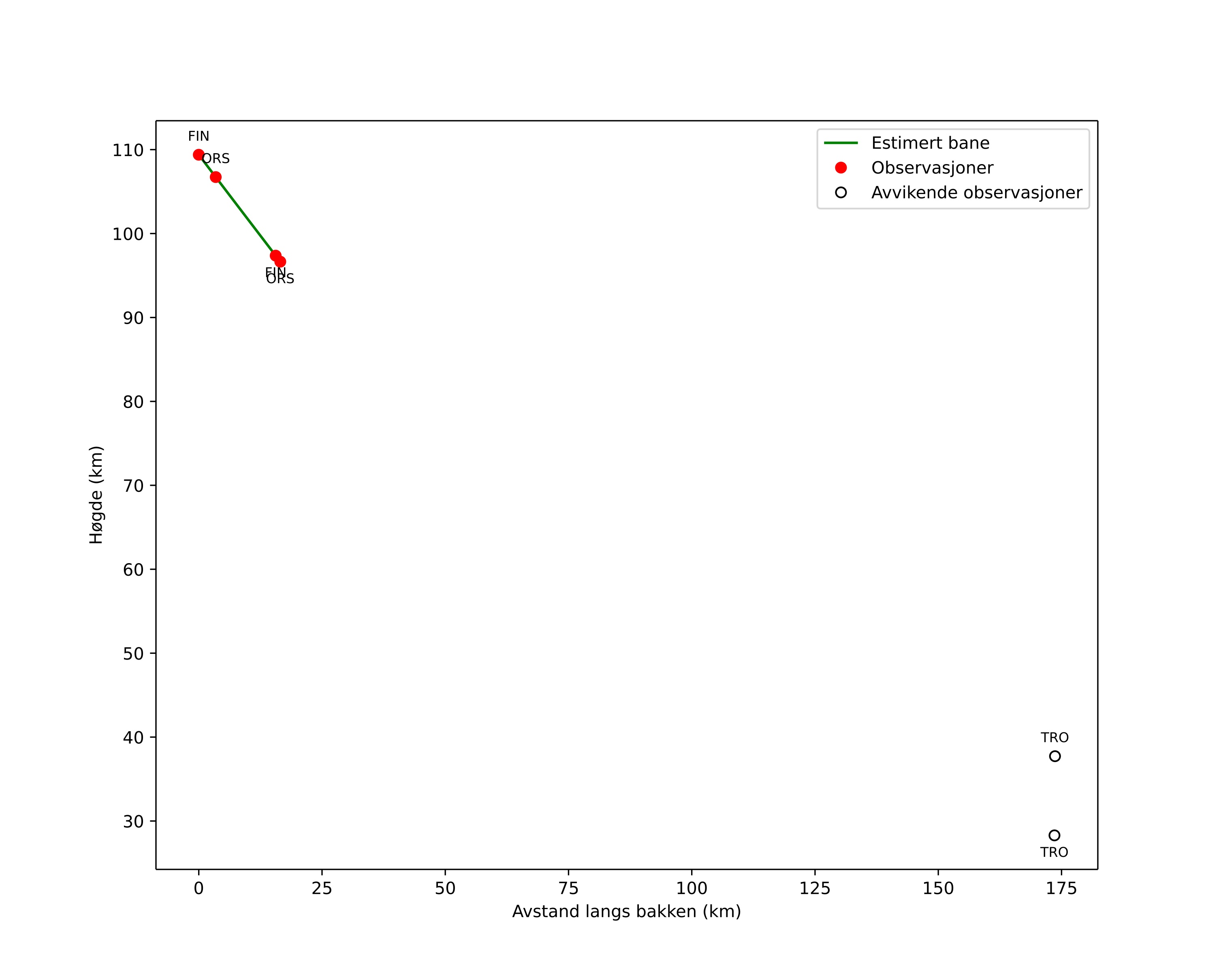
Meteorens atmosfæriske bane:
Starthøgde: 109,4 km
Slutthøgde: 96,4 km
Startposisjon: 63,133N 7,196E
Sluttposisjon: 63,248N 6,990E
Retning: 321,0°
Fallvinkel: 38,4°
Inngangshastighet: 69,6 km/s
Radiantens rektascensjon: 06:12 (93,2°)
Radiantens deklinasjon: 15,8°
Meteorsverm: Orionidene
Meteoroidens baneelement:
Perihelavstand: 0,632 AU
Eksentrisitet: 1,063
Inklinasjon: 164,6°
Knutelengde: 25,6°
Perihelargument: 73,1°
Midlere anomali: -1,1°
Epoke: 2025 OCT 19 01:51:21
orbit plot

Ikke-interaktivt plott | Interaktivt plott

position vs time
speed and acceleration

Finnskogen (FIN) cam1


gnomonic
Videoer
• Gnomonisk
• Gnomonisk med koordinater
• Original
• Original med koordinater
Bilder
• Gnomonisk
• Gnomonisk med koordinater
• Original
• Original med koordinater
Tekstfiler
• Deteksjon
• Observasjon
• Koordinater
• Logg
Lysstyrke

Orsta (ORS) cam5


gnomonic
Videoer
• Gnomonisk
• Gnomonisk med koordinater
• Original
• Original med koordinater
Bilder
• Gnomonisk
• Gnomonisk med koordinater
• Original
• Original med koordinater
Tekstfiler
• Deteksjon
• Observasjon
• Koordinater
• Logg
Lysstyrke

Trondheim (TRO) cam4


gnomonic
Videoer
• Gnomonisk
• Gnomonisk med koordinater
• Original
• Original med koordinater
Bilder
• Gnomonisk
• Gnomonisk med koordinater
• Original
• Original med koordinater
Tekstfiler
• Deteksjon
• Observasjon
• Koordinater
• Logg
Lysstyrke