🇳🇴 🇬🇧 🇩🇪 🇨🇿 🇫🇮

Meteor, poloha: Innbygda 2025-10-19 01:59:08 UTC

Soubor KML  |  InteraktivnĂ­ mapa

Mapa zobrazuje dráhy meteoru. Světlejší čáry ukazují směry od pozorovacích stanic při objevení se meteoru a tmavší čáry, kde byl naposledy viděn. Modrá šipka značí viditelnou dráhu meteoru.

static map
height profile
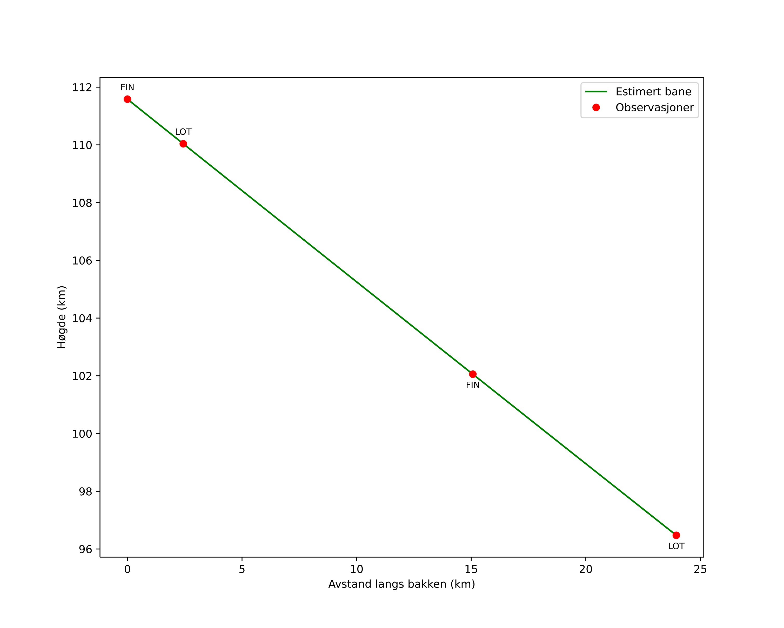
Atmosférická dráha meteoru:
Počáteční výška: 117,8 km
Konečná výška: 98,5 km
Počáteční poloha: 60,992N 13,055E
Konečná poloha: 60,921N 12,580E
Směr: 253,2°
Sklon: 35,8°
VstupnĂ­ rychlost: 64,6 km/s
Rektascenze radiantu: 10:18 (154,6°)
Deklinace radiantu: 38,5°
MeteorickĂ˝ roj: leo-minoridene
Elementy dráhy meteoroidu:
Vzdálenost v periheliu: 0,671 AU
Excentricita: 1,045
Sklon dráhy: 127,4°
Délka vzestupného uzlu: 205,6°
Argument perihelia: 111,2°
Střední anomálie: 0,6°
Epocha: 2025 OCT 19 01:59:08
orbit plot

NeinteraktivnĂ­ graf | InteraktivnĂ­ graf

position vs time
speed and acceleration

Finnskogen (FIN) cam7


gnomonic
Videa
• Gnomonická
• Gnomonická se souřadnicemi
• Původní
• Původní se souřadnicemi
Obrázky
• Gnomonická
• Gnomonická se souřadnicemi
• Původní
• Původní se souřadnicemi
Textové soubory
• Detekce
• Pozorování
• Souřadnice
• Protokol
Jasnost

Loten (LOT) cam6


gnomonic
Videa
• Gnomonická
• Gnomonická se souřadnicemi
• Původní
• Původní se souřadnicemi
Obrázky
• Gnomonická
• Gnomonická se souřadnicemi
• Původní
• Původní se souřadnicemi
Textové soubory
• Detekce
• Pozorování
• Souřadnice
• Protokol
Jasnost