🇳🇴 🇬🇧 🇩🇪 🇨🇿 🇫🇮

Meteor Innbygdan yllä 2025-10-19 01:59:08 UTC

KML-tiedosto  |  Interaktiivinen kartta

Kartta näyttää meteorin suuntahavainnot. Vaaleammat viivat näyttävät suunnat havaintoasemilta meteorin ilmestyessä, ja tummemmat viivat näyttävät, missä se viimeksi nähtiin. Sininen nuoli näyttää meteorin näkyvän lennon.

static map
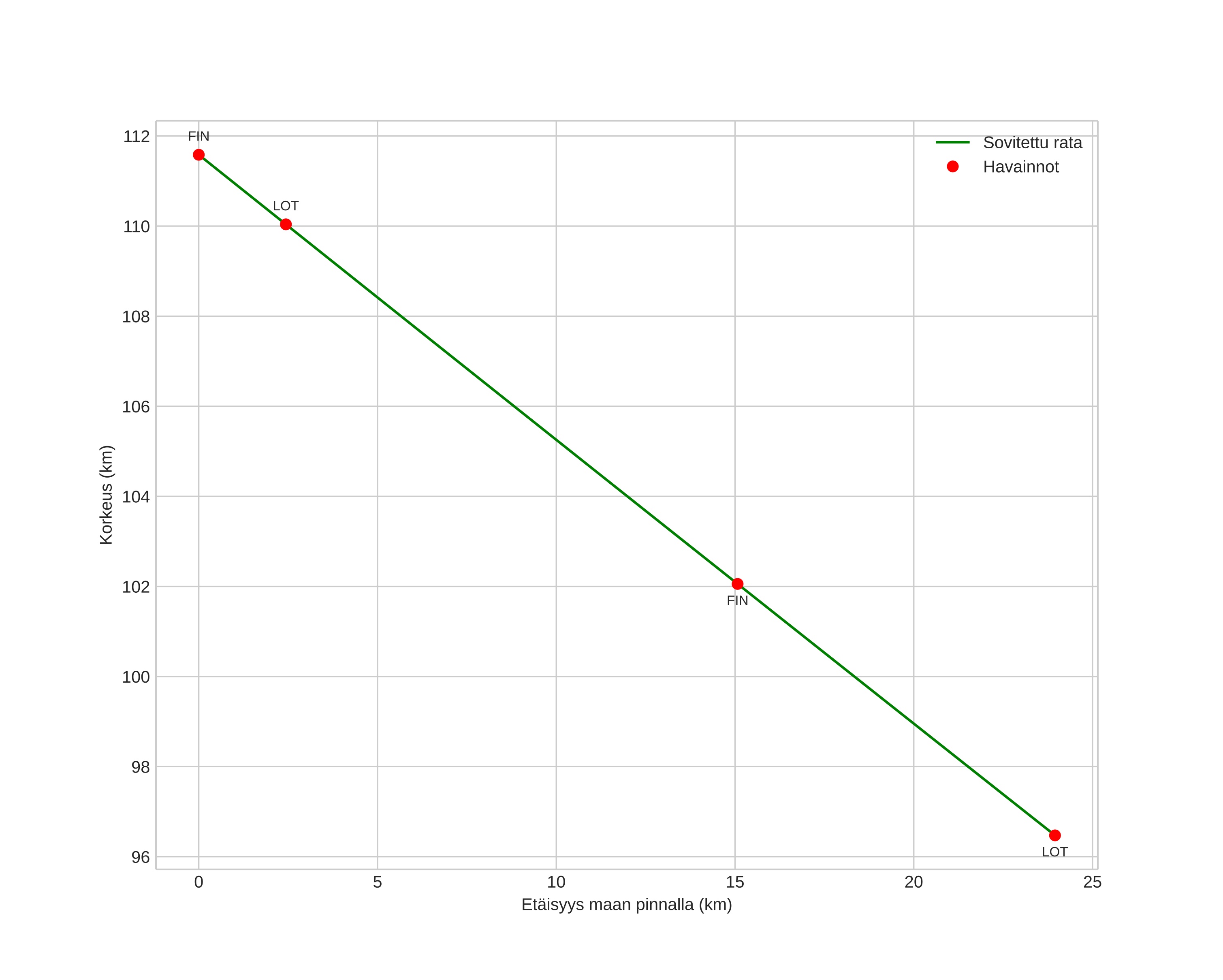
height profile
Meteorin ilmakehärata:
Alkukorkeus: 117,8 km
Loppukorkeus: 98,5 km
Alkupiste: 60,992N 13,055E
Loppupiste: 60,921N 12,580E
Suunta: 253,2°
Kallistuskulma: 35,8°
Tulonopeus: 64,6 km/s
Radiantin R,A,: 10:18 (154,6°)
Radiantin Dekl,: 38,5°
Meteoriparvi: leo-minoridene
Meteoroidin rataelementit:
Perihelietäisyys: 0,671 AU
Eksentrisyys: 1,045
Inklinaatio: 127,4°
Nousevan solmun pituus: 205,6°
Perihelin argumentti: 111,2°
Keskianomalia: 0,6°
Epookki: 2025 OCT 19 01:59:08
orbit plot

Ei-interaktiivinen kuvaaja | Interaktiivinen kuvaaja

position vs time
speed and acceleration

Finnskogen (FIN) cam7


gnomonic
Videot:
• Gnomoninen
• Gnomoninen koordinaateilla
• Alkuperäinen
• Alkuperäinen koordinaateilla
Kuvat:
• Gnomoninen
• Gnomoninen koordinaateilla
• Alkuperäinen
• Alkuperäinen koordinaateilla
Tekstitiedostot:
• Havaintoraportti
• Observaatio
• Koordinaatit
• Loki
Kirkkaus

Loten (LOT) cam6


gnomonic
Videot:
• Gnomoninen
• Gnomoninen koordinaateilla
• Alkuperäinen
• Alkuperäinen koordinaateilla
Kuvat:
• Gnomoninen
• Gnomoninen koordinaateilla
• Alkuperäinen
• Alkuperäinen koordinaateilla
Tekstitiedostot:
• Havaintoraportti
• Observaatio
• Koordinaatit
• Loki
Kirkkaus