🇳🇴 🇬🇧 🇩🇪 🇨🇿 🇫🇮

Meteor over Svärdsjö 2025-10-19 02:22:55 UTC

KML-fil

Kartet viser peilingene for meteoren. De lysere linjene viser retningene fra observasjonsstedene for meteorens tilsynekomst, og de mørkere linjene viser hvor den sist kunne sees. Den blå pila viser meteorens synlige ferd.

static map
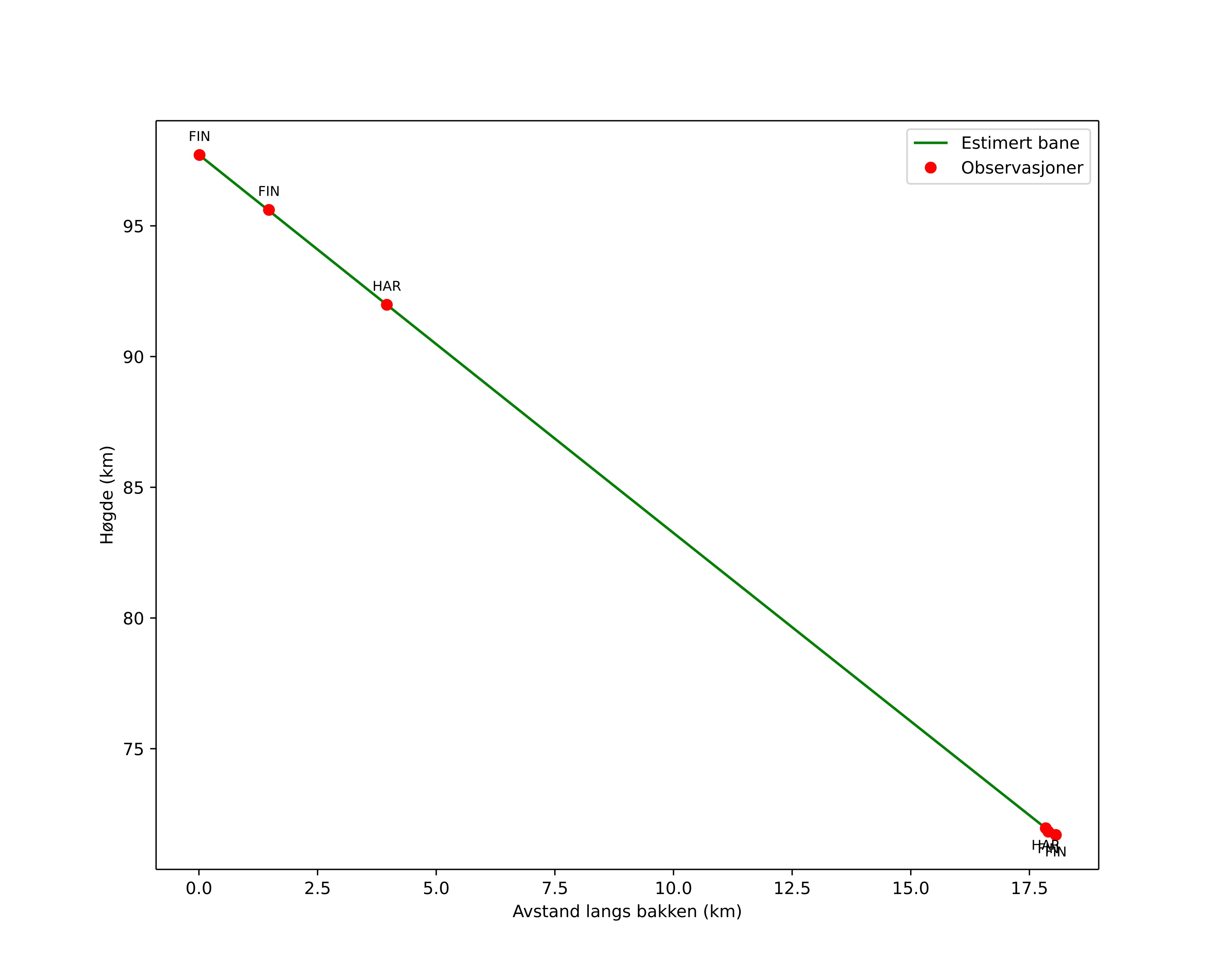
height profile
Meteorens atmosfæriske bane:
Starthøgde: 97,7 km
Slutthøgde: 71,7 km
Startposisjon: 61,031N 15,948E
Sluttposisjon: 60,880N 15,830E
Retning: 200,6°
Fallvinkel: 55,3°
Inngangshastighet: 40,8 km/s
Radiantens rektascensjon: 12:42 (190,7°)
Radiantens deklinasjon: 77,8°
Meteorsverm: sporadisk
Meteoroidens baneelement:
Perihelavstand: 0,995 AU
Eksentrisitet: 0,656
Inklinasjon: 68,8°
Knutelengde: 205,6°
Perihelargument: 176,6°
Midlere anomali: 0,5°
Epoke: 2025 OCT 19 02:22:55
orbit plot

Ikke-interaktivt plott

position vs time
speed and acceleration

Finnskogen (FIN) cam2


gnomonic
Videoer
• Gnomonisk
• Gnomonisk med koordinater
• Original
• Original (HEVC)
• Original med koordinater
Bilder
• Gnomonisk
• Gnomonisk med koordinater
• Original
• Original med koordinater
Tekstfiler
• Deteksjon
• Observasjon
• Koordinater
• Logg
Lysstyrke

Finnskogen (FIN) cam3


gnomonic
Videoer
• Gnomonisk
• Gnomonisk med koordinater
• Original
• Original (HEVC)
• Original med koordinater
Bilder
• Gnomonisk
• Gnomonisk med koordinater
• Original
• Original med koordinater
Tekstfiler
• Deteksjon
• Observasjon
• Koordinater
• Logg
Lysstyrke

Harestua (HAR) cam2


gnomonic
Videoer
• Gnomonisk
• Gnomonisk med koordinater
• Original
• Original (HEVC)
• Original med koordinater
Bilder
• Gnomonisk
• Gnomonisk med koordinater
• Original
• Original med koordinater
Tekstfiler
• Deteksjon
• Observasjon
• Koordinater
• Logg
Lysstyrke