🇳🇴 🇬🇧 🇩🇪 🇨🇿 🇫🇮

Meteor over Härnösand 2025-10-19 02:41:41 UTC

KML file

The map shows the bearings for the meteor. The lighter lines show the directions from the observation sites at the meteor's appearance, and the darker lines show where it was last seen. The blue arrow indicates the visible path of the meteor.

static map
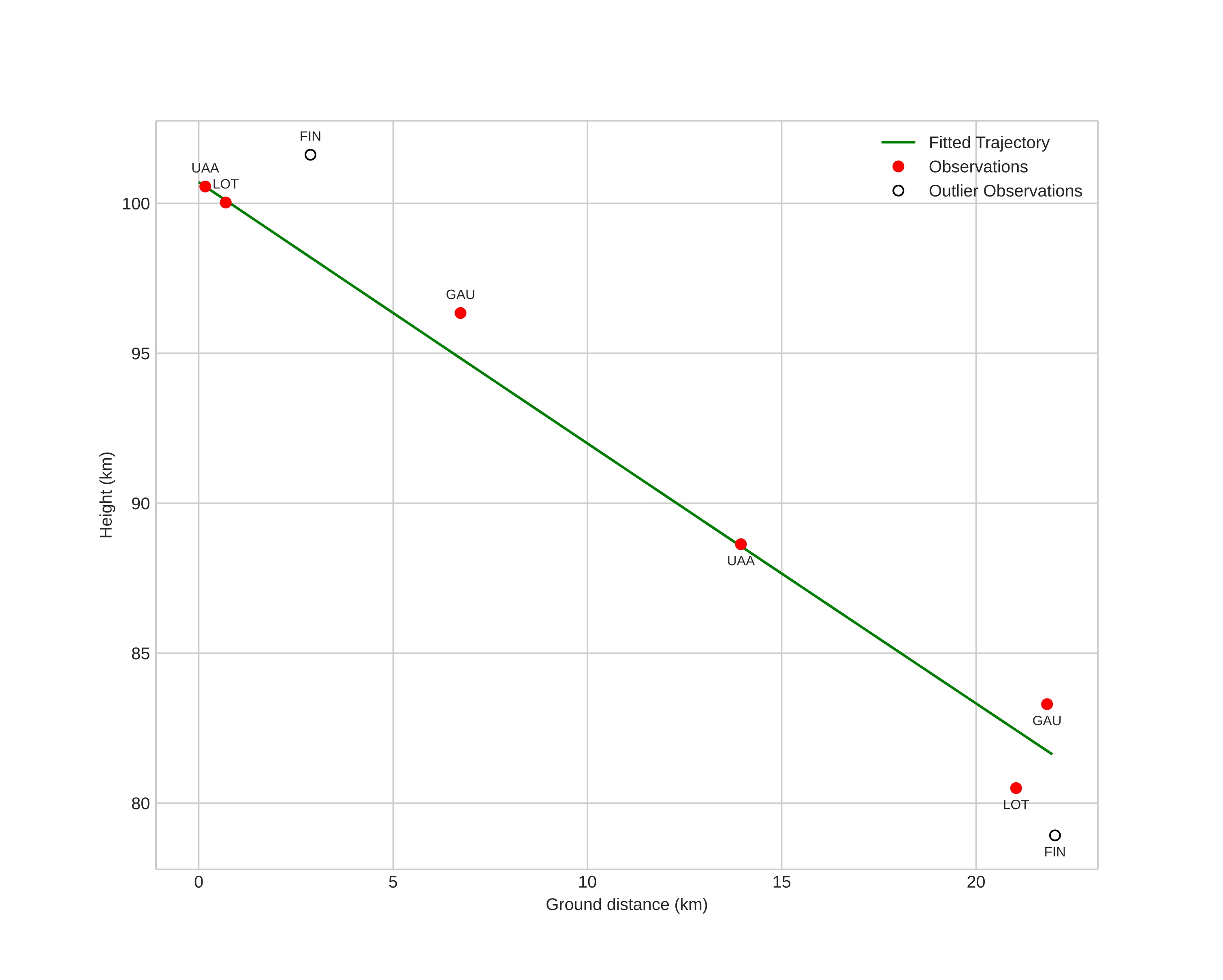
height profile
Meteor's Atmospheric Trajectory:
Start height: 100.7 km
End height: 81.6 km
Start position: 62.500N 18.141E
End position: 62.696N 18.084E
Direction: 352.5°
Inclination angle: 41.0°
Entry speed: 65.2 km/s
Radiant R.A.: 06:06 (91.6°)
Radiant Dec.: 13.3°
Meteor Shower: Orionids
Meteoroid's Orbital Elements:
Perihelion distance: 0.537 AU
Eccentricity: 0.887
Inclination: 157.8°
Long. of Asc. Node: 25.6°
Argument of Perihelion: 88.9°
Mean Anomaly: 356.1°
Epoch: 2025 OCT 19 02:41:41
orbit plot

Non-interactive plot

position vs time
speed and acceleration

Finnskogen (FIN) cam2


gnomonic
Videos
• Gnomonic
• Gnomonic with coordinates
• Original
• Original (HEVC)
• Original with coordinates
Images
• Gnomonic
• Gnomonic with coordinates
• Original
• Original with coordinates
Text Files
• Detection
• Observation
• Coordinates
• Log
Brightness

Gaustatoppen (GAU) cam2


gnomonic
Videos
• Gnomonic
• Gnomonic with coordinates
• Original
• Original (HEVC)
• Original with coordinates
Images
• Gnomonic
• Gnomonic with coordinates
• Original
• Original with coordinates
Text Files
• Detection
• Observation
• Coordinates
• Log
Brightness

Loten (LOT) cam2


gnomonic
Videos
• Gnomonic
• Gnomonic with coordinates
• Original
• Original (HEVC)
• Original with coordinates
Images
• Gnomonic
• Gnomonic with coordinates
• Original
• Original with coordinates
Text Files
• Detection
• Observation
• Coordinates
• Log
Brightness