🇳🇴 🇬🇧 🇩🇪 🇨🇿 🇫🇮

Meteor over Skarnes 2025-10-19 03:36:31 UTC

KML-fil

Kartet viser peilingene for meteoren. De lysere linjene viser retningene fra observasjonsstedene for meteorens tilsynekomst, og de mørkere linjene viser hvor den sist kunne sees. Den blå pila viser meteorens synlige ferd.

static map
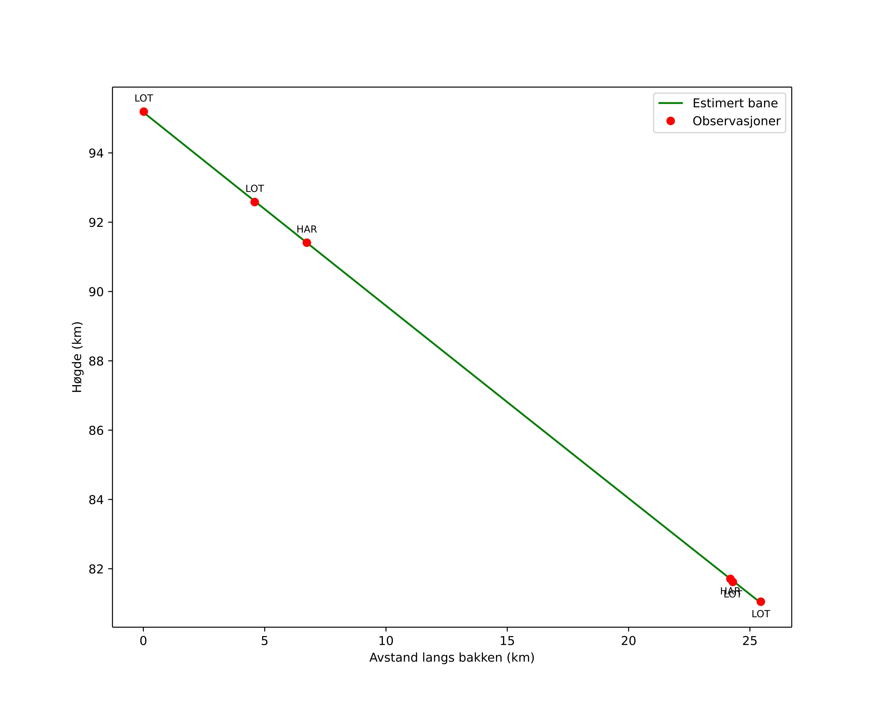
height profile
Meteorens atmosfæriske bane:
Starthøgde: 95,2 km
Slutthøgde: 81,0 km
Startposisjon: 59,947N 11,321E
Sluttposisjon: 60,050N 11,729E
Retning: 63,0°
Fallvinkel: 29,2°
Inngangshastighet: 26,9 km/s
Radiantens rektascensjon: 02:32 (38,2°)
Radiantens deklinasjon: 9,9°
Meteorsverm: Sørlige tauridene
Meteoroidens baneelement:
Perihelavstand: 0,378 AU
Eksentrisitet: 0,747
Inklinasjon: 4,9°
Knutelengde: 25,7°
Perihelargument: 116,8°
Midlere anomali: 334,7°
Epoke: 2025 OCT 19 03:36:31
orbit plot

Ikke-interaktivt plott

position vs time
speed and acceleration

Harestua (HAR) cam7


gnomonic
Videoer
• Gnomonisk
• Gnomonisk med koordinater
• Original
• Original (HEVC)
• Original med koordinater
Bilder
• Gnomonisk
• Gnomonisk med koordinater
• Original
• Original med koordinater
Tekstfiler
• Deteksjon
• Observasjon
• Koordinater
• Logg
Lysstyrke

Loten (LOT) cam3


gnomonic
Videoer
• Gnomonisk
• Gnomonisk med koordinater
• Original
• Original (HEVC)
• Original med koordinater
Bilder
• Gnomonisk
• Gnomonisk med koordinater
• Original
• Original med koordinater
Tekstfiler
• Deteksjon
• Observasjon
• Koordinater
• Logg
Lysstyrke

Loten (LOT) cam7


gnomonic
Videoer
• Gnomonisk
• Gnomonisk med koordinater
• Original
• Original (HEVC)
• Original med koordinater
Bilder
• Gnomonisk
• Gnomonisk med koordinater
• Original
• Original med koordinater
Tekstfiler
• Deteksjon
• Observasjon
• Koordinater
• Logg
Lysstyrke