🇳🇴 🇬🇧 🇩🇪 🇨🇿 🇫🇮

Meteor Søgnen yllä 2025-10-19 04:27:58 UTC

KML-tiedosto  |  Interaktiivinen kartta

Kartta näyttää meteorin suuntahavainnot. Vaaleammat viivat näyttävät suunnat havaintoasemilta meteorin ilmestyessä, ja tummemmat viivat näyttävät, missä se viimeksi nähtiin. Sininen nuoli näyttää meteorin näkyvän lennon.

static map
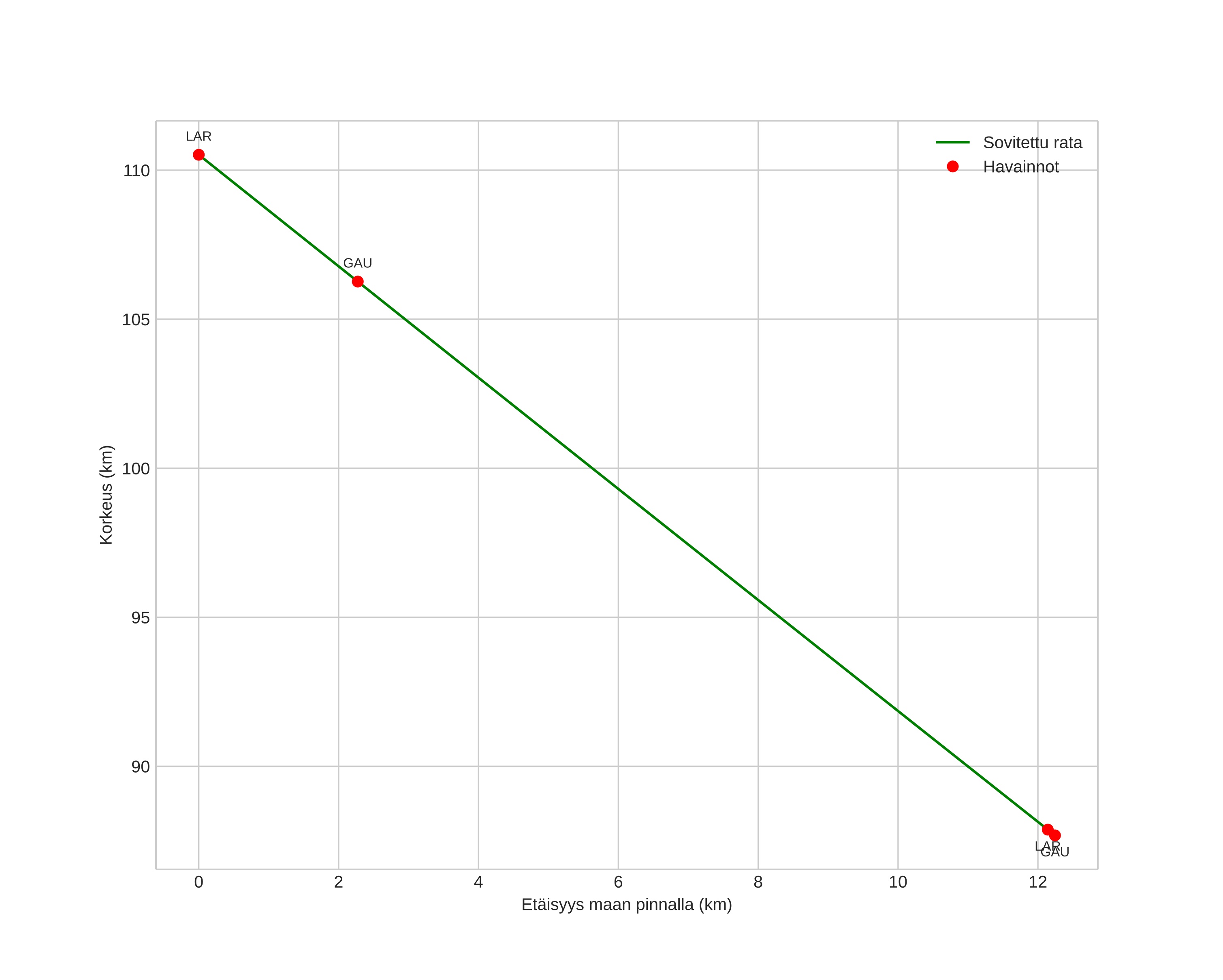
height profile
Meteorin ilmakehärata:
Alkukorkeus: 111,6 km
Loppukorkeus: 87,8 km
Alkupiste: 57,321N 8,001E
Loppupiste: 57,368N 7,800E
Suunta: 293,5°
Kallistuskulma: 61,1°
Tulonopeus: 67,3 km/s
Radiantin R,A,: 09:08 (137,2°)
Radiantin Dekl,: 39,2°
Meteoriparvi: Sporadinen
Meteoroidin rataelementit:
Perihelietäisyys: 0,900 AU
Eksentrisyys: 0,892
Inklinaatio: 141,1°
Nousevan solmun pituus: 205,7°
Perihelin argumentti: 142,6°
Keskianomalia: 1,0°
Epookki: 2025 OCT 19 04:27:58
orbit plot

Ei-interaktiivinen kuvaaja | Interaktiivinen kuvaaja

position vs time
speed and acceleration

Gaustatoppen (GAU) cam4


gnomonic
Videot:
• Gnomoninen
• Gnomoninen koordinaateilla
• Alkuperäinen
• Alkuperäinen koordinaateilla
Kuvat:
• Gnomoninen
• Gnomoninen koordinaateilla
• Alkuperäinen
• Alkuperäinen koordinaateilla
Tekstitiedostot:
• Havaintoraportti
• Observaatio
• Koordinaatit
• Loki
Kirkkaus

Larvik (LAR) cam4


gnomonic
Videot:
• Gnomoninen
• Gnomoninen koordinaateilla
• Alkuperäinen
• Alkuperäinen koordinaateilla
Kuvat:
• Gnomoninen
• Gnomoninen koordinaateilla
• Alkuperäinen
• Alkuperäinen koordinaateilla
Tekstitiedostot:
• Havaintoraportti
• Observaatio
• Koordinaatit
• Loki
Kirkkaus