🇳🇴 🇬🇧 🇩🇪 🇨🇿 🇫🇮

Meteor Edsbynin yllä 2025-10-19 04:31:26 UTC

KML-tiedosto  |  Interaktiivinen kartta

Kartta näyttää meteorin suuntahavainnot. Vaaleammat viivat näyttävät suunnat havaintoasemilta meteorin ilmestyessä, ja tummemmat viivat näyttävät, missä se viimeksi nähtiin. Sininen nuoli näyttää meteorin näkyvän lennon.

static map
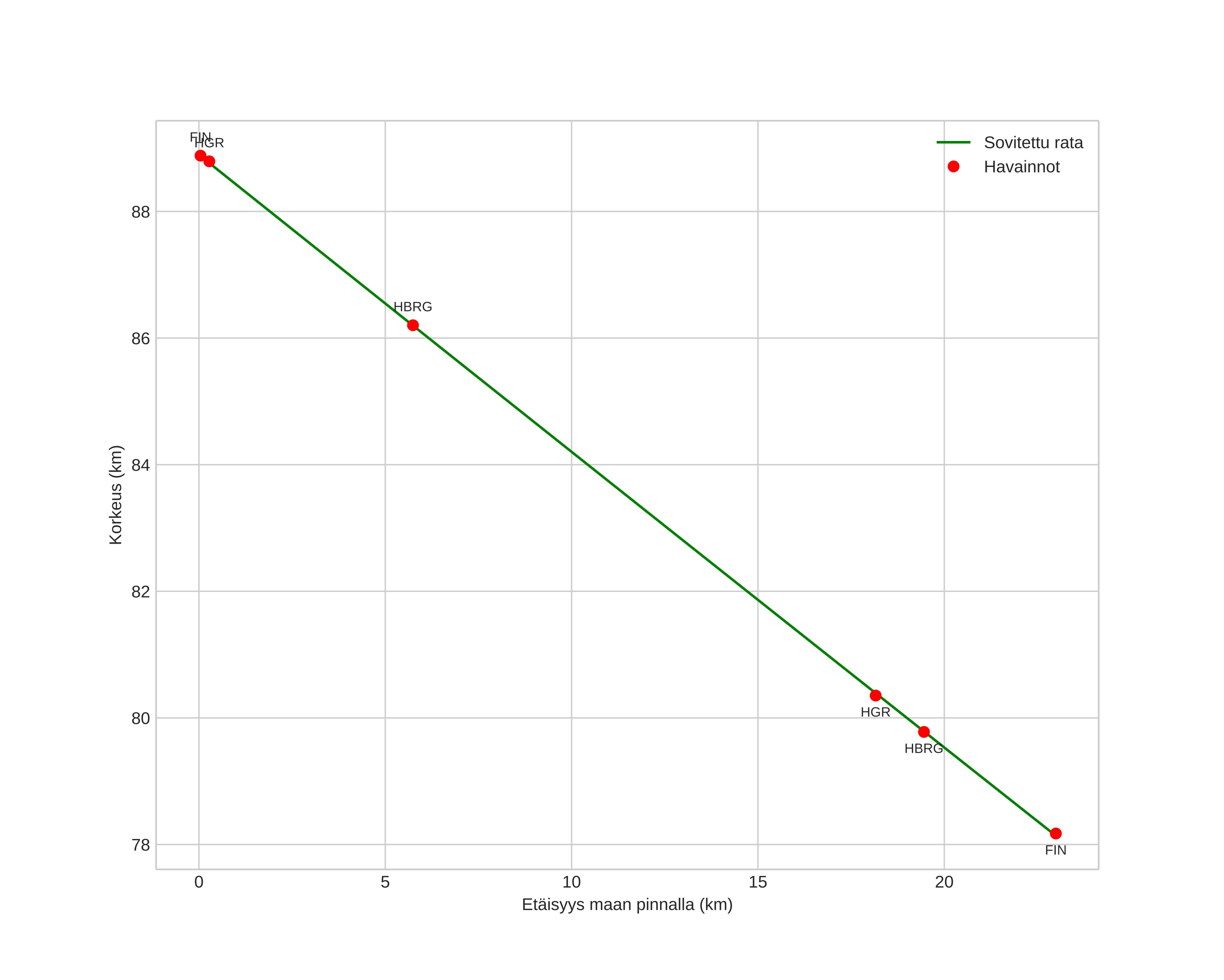
height profile
Meteorin ilmakehärata:
Alkukorkeus: 88,9 km
Loppukorkeus: 78,0 km
Alkupiste: 61,145N 15,212E
Loppupiste: 61,229N 15,609E
Suunta: 66,0°
Kallistuskulma: 25,1°
Tulonopeus: 42,8 km/s
Radiantin R,A,: 03:29 (52,4°)
Radiantin Dekl,: 9,9°
Meteoriparvi: Sporadinen
Meteoroidin rataelementit:
Perihelietäisyys: 0,096 AU
Eksentrisyys: 0,975
Inklinaatio: 29,1°
Nousevan solmun pituus: 25,7°
Perihelin argumentti: 146,1°
Keskianomalia: 355,7°
Epookki: 2025 OCT 19 04:31:26
orbit plot

Ei-interaktiivinen kuvaaja | Interaktiivinen kuvaaja

position vs time
speed and acceleration

Finnskogen (FIN) cam2


gnomonic
Videot:
• Gnomoninen
• Gnomoninen koordinaateilla
• Alkuperäinen
• Alkuperäinen koordinaateilla
Kuvat:
• Gnomoninen
• Gnomoninen koordinaateilla
• Alkuperäinen
• Alkuperäinen koordinaateilla
Tekstitiedostot:
• Havaintoraportti
• Observaatio
• Koordinaatit
• Loki
Kirkkaus

Hagar (HGR) cam3


gnomonic
Videot:
• Gnomoninen
• Gnomoninen koordinaateilla
• Alkuperäinen
• Alkuperäinen koordinaateilla
Kuvat:
• Gnomoninen
• Gnomoninen koordinaateilla
• Alkuperäinen
• Alkuperäinen koordinaateilla
Tekstitiedostot:
• Havaintoraportti
• Observaatio
• Koordinaatit
• Loki
Kirkkaus