🇳🇴 🇬🇧 🇩🇪 🇨🇿 🇫🇮

Meteor Hjelsetin yllä 2025-10-19 18:45:13 UTC

KML-tiedosto  |  Interaktiivinen kartta

Kartta näyttää meteorin suuntahavainnot. Vaaleammat viivat näyttävät suunnat havaintoasemilta meteorin ilmestyessä, ja tummemmat viivat näyttävät, missä se viimeksi nähtiin. Sininen nuoli näyttää meteorin näkyvän lennon.

static map
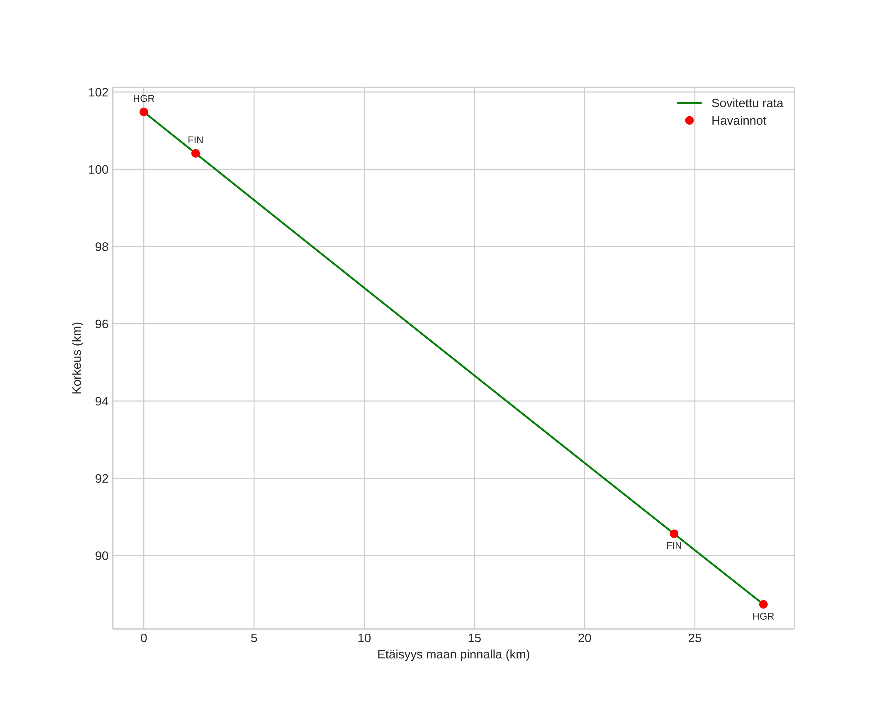
height profile
Meteorin ilmakehärata:
Alkukorkeus: 101,5 km
Loppukorkeus: 89,0 km
Alkupiste: 62,973N 7,495E
Loppupiste: 62,732N 7,607E
Suunta: 168,1°
Kallistuskulma: 24,5°
Tulonopeus: 49,0 km/s
Radiantin R,A,: 10:17 (154,3°)
Radiantin Dekl,: 49,8°
Meteoriparvi: Sporadinen
Meteoroidin rataelementit:
Perihelietäisyys: 0,660 AU
Eksentrisyys: 0,412
Inklinaatio: 102,8°
Nousevan solmun pituus: 206,3°
Perihelin argumentti: 81,1°
Keskianomalia: 51,4°
Epookki: 2025 OCT 19 18:45:13
orbit plot

Ei-interaktiivinen kuvaaja | Interaktiivinen kuvaaja

position vs time
speed and acceleration

Finnskogen (FIN) cam5


gnomonic
Videot:
• Gnomoninen
• Gnomoninen koordinaateilla
• Alkuperäinen
• Alkuperäinen koordinaateilla
Kuvat:
• Gnomoninen
• Gnomoninen koordinaateilla
• Alkuperäinen
• Alkuperäinen koordinaateilla
Tekstitiedostot:
• Havaintoraportti
• Observaatio
• Koordinaatit
• Loki
Kirkkaus

Hagar (HGR) cam1


gnomonic
Videot:
• Gnomoninen
• Gnomoninen koordinaateilla
• Alkuperäinen
• Alkuperäinen koordinaateilla
Kuvat:
• Gnomoninen
• Gnomoninen koordinaateilla
• Alkuperäinen
• Alkuperäinen koordinaateilla
Tekstitiedostot:
• Havaintoraportti
• Observaatio
• Koordinaatit
• Loki
Kirkkaus