🇳🇴 🇬🇧 🇩🇪 🇨🇿 🇫🇮

Meteor over Arvika 2025-10-19 21:40:24 UTC

KML-fil

Kartet viser peilingene for meteoren. De lysere linjene viser retningene fra observasjonsstedene for meteorens tilsynekomst, og de mørkere linjene viser hvor den sist kunne sees. Den blå pila viser meteorens synlige ferd.

static map
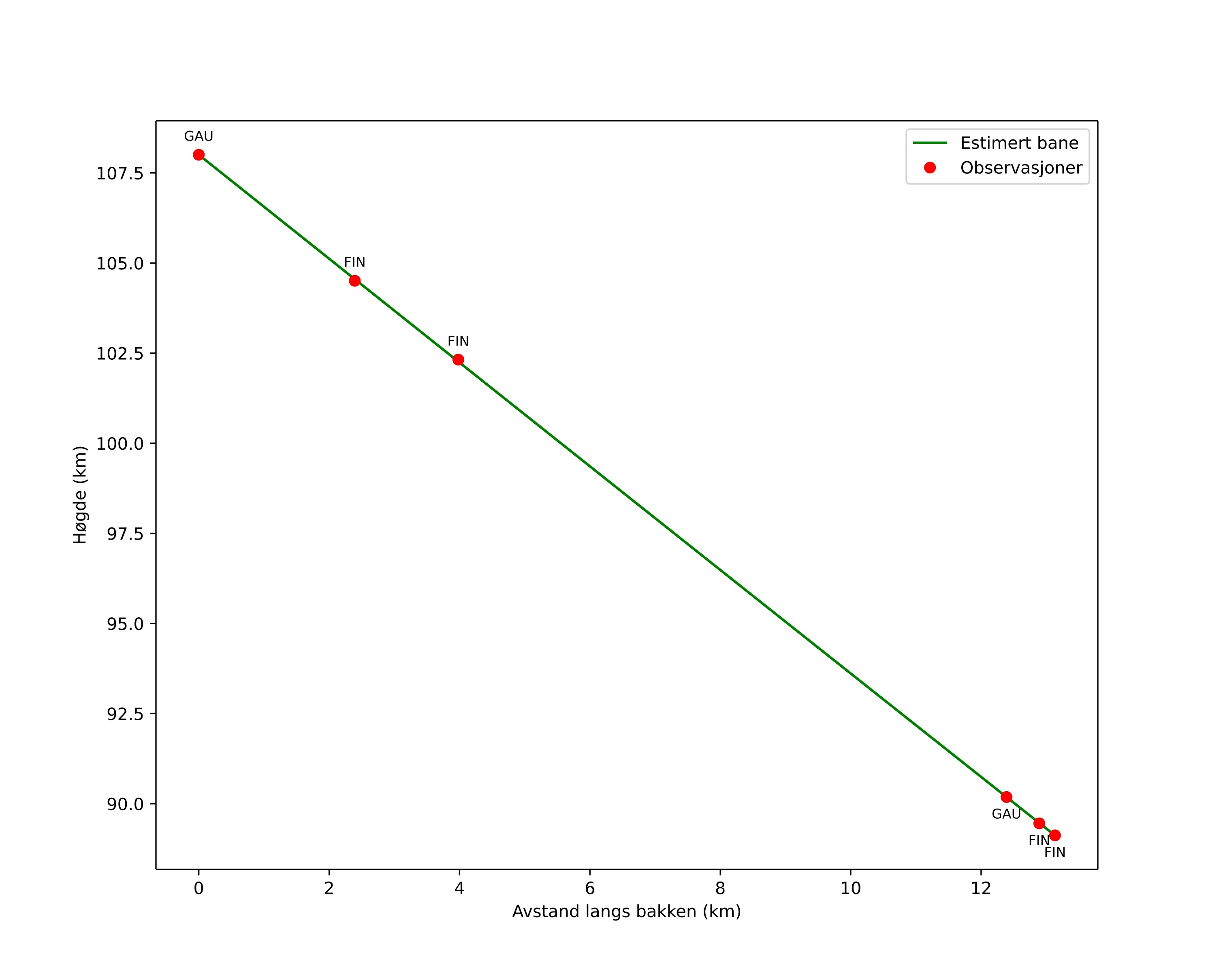
height profile
Meteorens atmosfæriske bane:
Starthøgde: 108,0 km
Slutthøgde: 89,1 km
Startposisjon: 59,572N 12,899E
Sluttposisjon: 59,474N 12,771E
Retning: 213,5°
Fallvinkel: 55,2°
Inngangshastighet: 55,9 km/s
Radiantens rektascensjon: 06:21 (95,4°)
Radiantens deklinasjon: 71,7°
Meteorsverm: sporadisk
Meteoroidens baneelement:
Perihelavstand: 0,883 AU
Eksentrisitet: 1,131
Inklinasjon: 94,7°
Knutelengde: 206,4°
Perihelargument: 218,2°
Midlere anomali: -1,3°
Epoke: 2025 OCT 19 21:40:24
orbit plot

Ikke-interaktivt plott

position vs time
speed and acceleration

Finnskogen (FIN) cam3


gnomonic
Videoer
• Gnomonisk
• Gnomonisk med koordinater
• Original
• Original (HEVC)
• Original med koordinater
Bilder
• Gnomonisk
• Gnomonisk med koordinater
• Original
• Original med koordinater
Tekstfiler
• Deteksjon
• Observasjon
• Koordinater
• Logg
Lysstyrke

Finnskogen (FIN) cam4


gnomonic
Videoer
• Gnomonisk
• Gnomonisk med koordinater
• Original
• Original (HEVC)
• Original med koordinater
Bilder
• Gnomonisk
• Gnomonisk med koordinater
• Original
• Original med koordinater
Tekstfiler
• Deteksjon
• Observasjon
• Koordinater
• Logg
Lysstyrke

Gaustatoppen (GAU) cam3


gnomonic
Videoer
• Gnomonisk
• Gnomonisk med koordinater
• Original
• Original (HEVC)
• Original med koordinater
Bilder
• Gnomonisk
• Gnomonisk med koordinater
• Original
• Original med koordinater
Tekstfiler
• Deteksjon
• Observasjon
• Koordinater
• Logg
Lysstyrke