🇳🇴 🇬🇧 🇩🇪 🇨🇿 🇫🇮

Meteor over Bjerkvik 2025-10-21 01:18:16 UTC

KML-fil  |  Interaktivt kart

Kartet viser peilingene for meteoren. De lysere linjene viser retningene fra observasjonsstedene for meteorens tilsynekomst, og de mørkere linjene viser hvor den sist kunne sees. Den blå pila viser meteorens synlige ferd.

static map
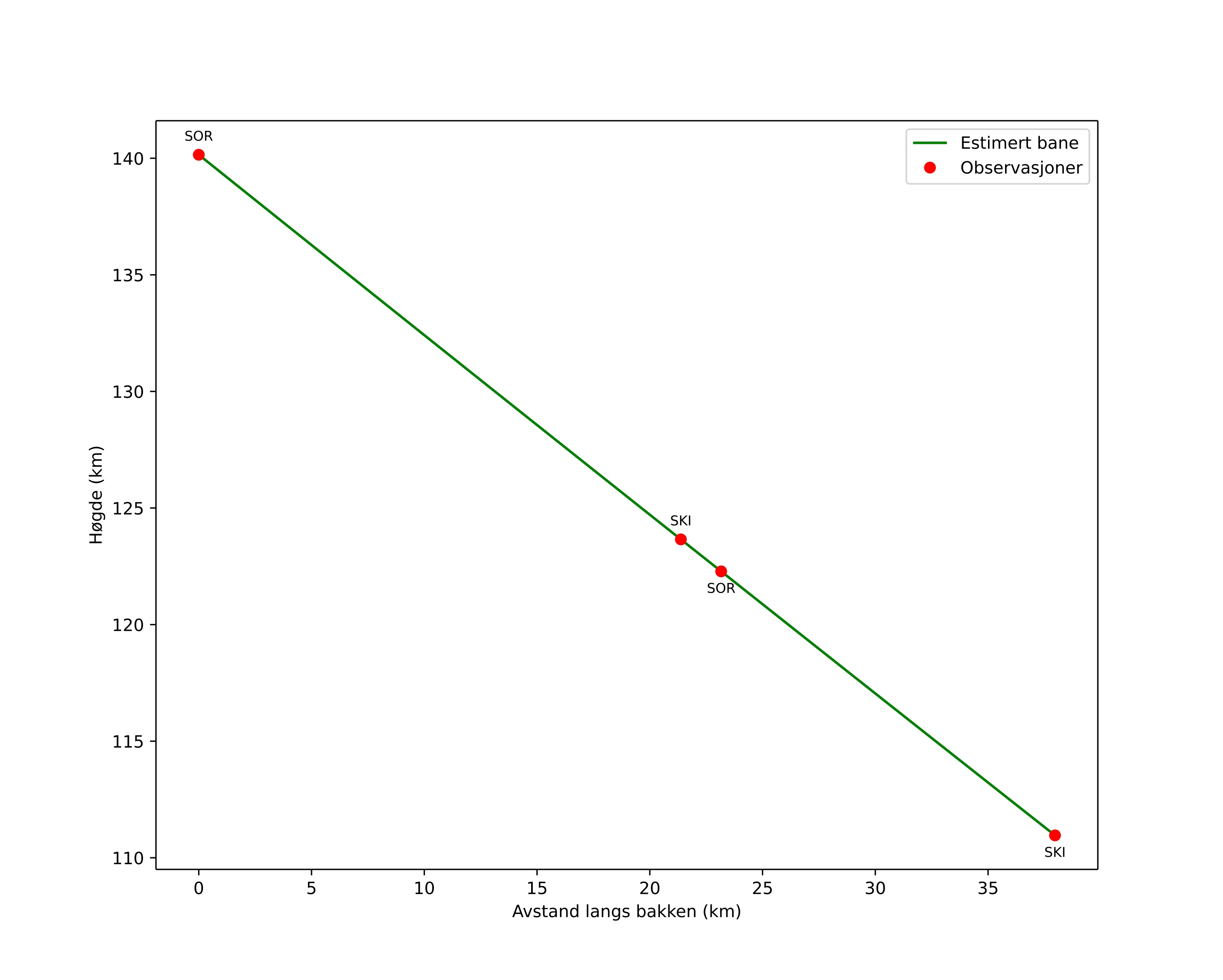
height profile
Meteorens atmosfæriske bane:
Starthøgde: 137,0 km
Slutthøgde: 114,0 km
Startposisjon: 68,178N 18,077E
Sluttposisjon: 68,430N 17,614E
Retning: 326,0°
Fallvinkel: 34,2°
Inngangshastighet: 73,0 km/s
Radiantens rektascensjon: 06:22 (95,5°)
Radiantens deklinasjon: 15,1°
Meteorsverm: Orionidene
Meteoroidens baneelement:
Perihelavstand: 0,687 AU
Eksentrisitet: 1,295
Inklinasjon: 164,0°
Knutelengde: 27,5°
Perihelargument: 63,1°
Midlere anomali: -8,7°
Epoke: 2025 OCT 21 01:18:16
orbit plot

Ikke-interaktivt plott | Interaktivt plott

position vs time
speed and acceleration

Skibotn (SKI) cam4


gnomonic
Videoer
• Gnomonisk
• Gnomonisk med koordinater
• Original
• Original med koordinater
Bilder
• Gnomonisk
• Gnomonisk med koordinater
• Original
• Original med koordinater
Tekstfiler
• Deteksjon
• Observasjon
• Koordinater
• Logg
Lysstyrke

Sorreisa (SOR) cam7


gnomonic
Videoer
• Gnomonisk
• Gnomonisk med koordinater
• Original
• Original med koordinater
Bilder
• Gnomonisk
• Gnomonisk med koordinater
• Original
• Original med koordinater
Tekstfiler
• Deteksjon
• Observasjon
• Koordinater
• Logg
Lysstyrke