🇳🇴 🇬🇧 🇩🇪 🇨🇿 🇫🇮

Meteor over Sjøvegan 2025-10-21 04:04:50 UTC

KML-fil  |  Interaktivt kart

Kartet viser peilingene for meteoren. De lysere linjene viser retningene fra observasjonsstedene for meteorens tilsynekomst, og de mørkere linjene viser hvor den sist kunne sees. Den blå pila viser meteorens synlige ferd.

static map
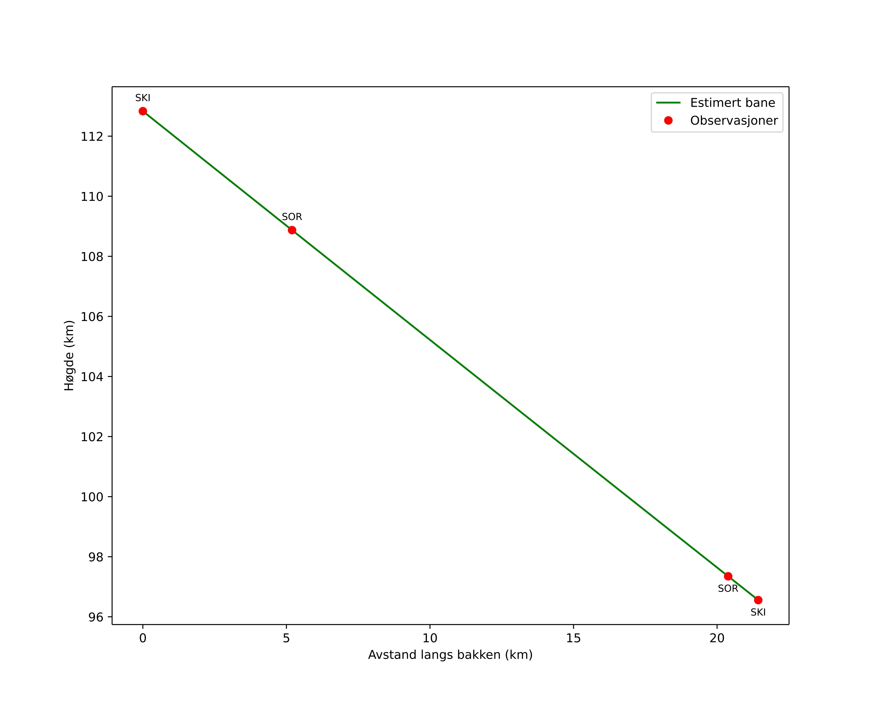
height profile
Meteorens atmosfæriske bane:
Starthøgde: 115,0 km
Slutthøgde: 96,0 km
Startposisjon: 68,519N 17,904E
Sluttposisjon: 68,733N 18,070E
Retning: 15,7°
Fallvinkel: 37,5°
Inngangshastighet: 60,0 km/s
Radiantens rektascensjon: 06:21 (95,4°)
Radiantens deklinasjon: 16,2°
Meteorsverm: Orionidene
Meteoroidens baneelement:
Perihelavstand: 0,418 AU
Eksentrisitet: 0,706
Inklinasjon: 163,1°
Knutelengde: 27,7°
Perihelargument: 113,7°
Midlere anomali: 331,8°
Epoke: 2025 OCT 21 04:04:50
orbit plot

Ikke-interaktivt plott | Interaktivt plott

position vs time
speed and acceleration

Skibotn (SKI) cam5


gnomonic
Videoer
• Gnomonisk
• Gnomonisk med koordinater
• Original
• Original med koordinater
Bilder
• Gnomonisk
• Gnomonisk med koordinater
• Original
• Original med koordinater
Tekstfiler
• Deteksjon
• Observasjon
• Koordinater
• Logg
Lysstyrke

Sorreisa (SOR) cam7


gnomonic
Videoer
• Gnomonisk
• Gnomonisk med koordinater
• Original
• Original med koordinater
Bilder
• Gnomonisk
• Gnomonisk med koordinater
• Original
• Original med koordinater
Tekstfiler
• Deteksjon
• Observasjon
• Koordinater
• Logg
Lysstyrke