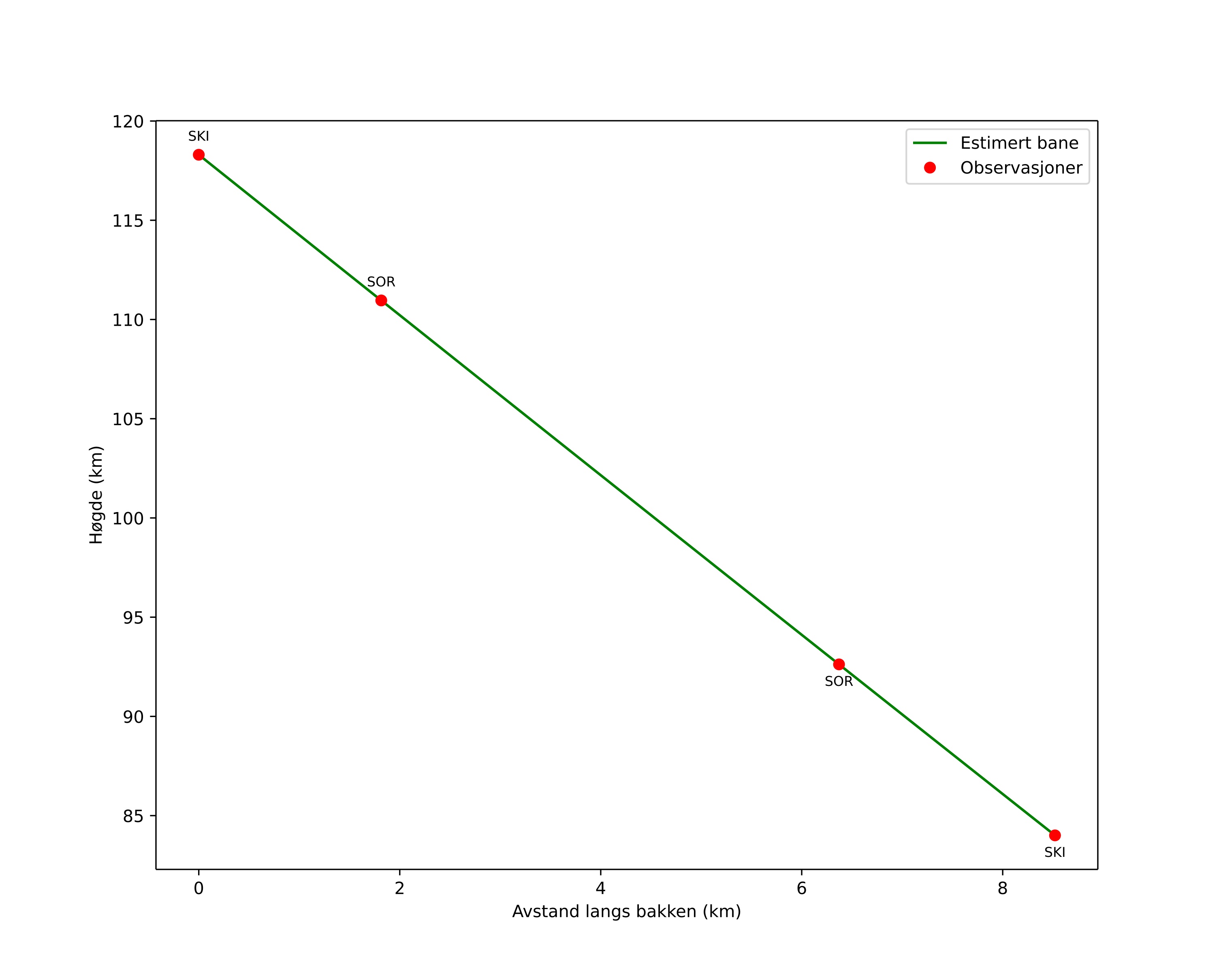
Atmosférická dráha meteoru:
| Počátečnà výška: | 116,9 km |
| Konečná výška: | 81,9 km |
| Počátečnà poloha: | 68,387N 22,831E |
| Konečná poloha: | 68,469N 22,724E |
| Směr: | 334,4° |
| Sklon: | 73,9° |
| VstupnĂ rychlost: | 52,7 km/s |
| Rektascenze radiantu: | 07:13 (108,3°) |
| Deklinace radiantu: | 53,0° |
| MeteorickĂ˝ roj: | sporadickĂ˝ |
|
Elementy dráhy meteoroidu:
| Vzdálenost v periheliu: | 0,664 AU |
| Excentricita: | 0,418 |
| Sklon dráhy: | 116,2° |
| Délka vzestupného uzlu: | 208,6° |
| Argument perihelia: | 277,4° |
| Střednà anomálie: | 310,6° |
| Epocha: | 2025 OCT 22 02:55:48 |
|