🇳🇴 🇬🇧 🇩🇪 🇨🇿 🇫🇮

Meteor Kautokeinon yllä 2025-10-22 02:55:48 UTC

KML-tiedosto  |  Interaktiivinen kartta

Kartta näyttää meteorin suuntahavainnot. Vaaleammat viivat näyttävät suunnat havaintoasemilta meteorin ilmestyessä, ja tummemmat viivat näyttävät, missä se viimeksi nähtiin. Sininen nuoli näyttää meteorin näkyvän lennon.

static map
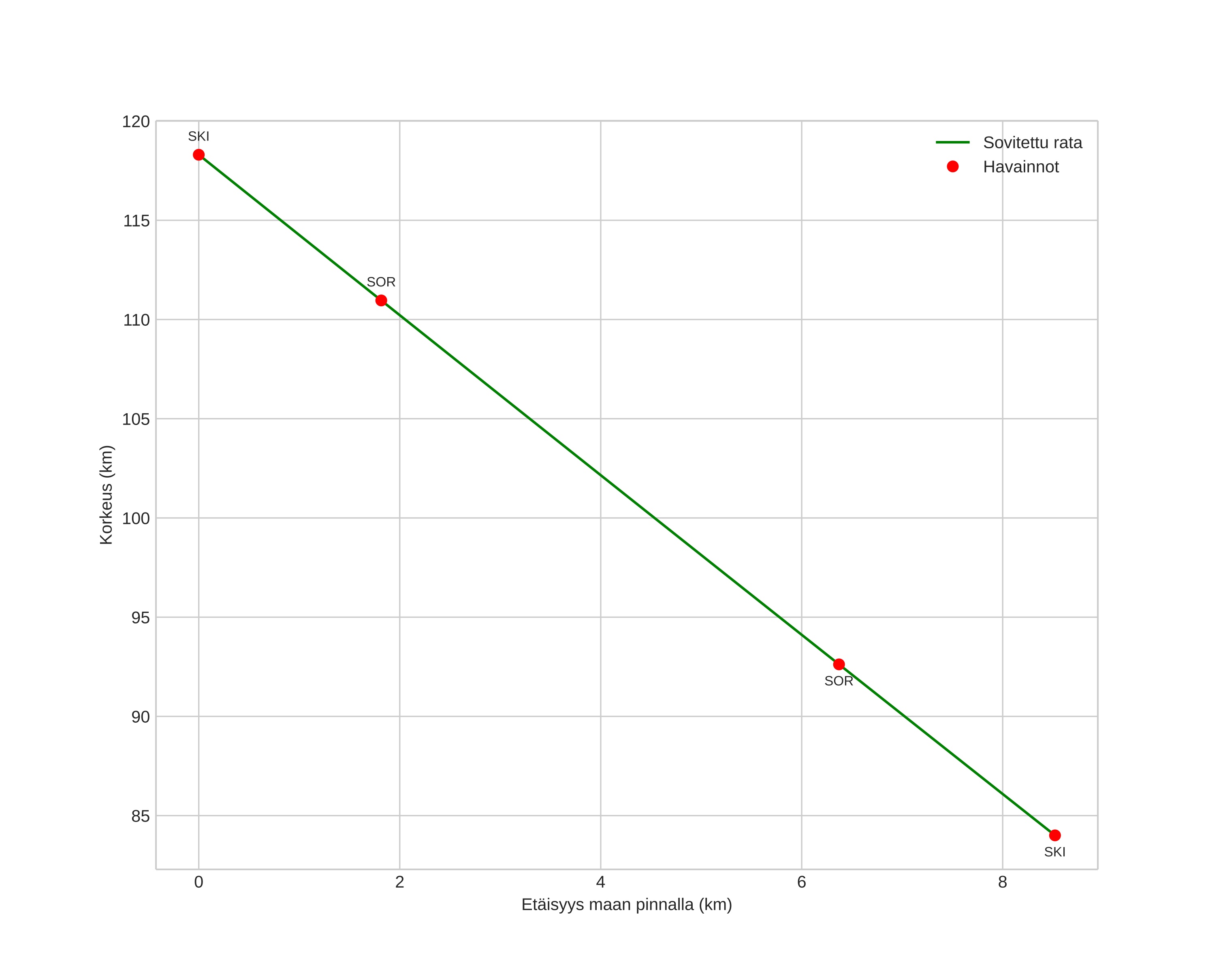
height profile
Meteorin ilmakehärata:
Alkukorkeus: 116,9 km
Loppukorkeus: 81,9 km
Alkupiste: 68,387N 22,831E
Loppupiste: 68,469N 22,724E
Suunta: 334,4°
Kallistuskulma: 73,9°
Tulonopeus: 52,7 km/s
Radiantin R,A,: 07:13 (108,3°)
Radiantin Dekl,: 53,0°
Meteoriparvi: Sporadinen
Meteoroidin rataelementit:
Perihelietäisyys: 0,664 AU
Eksentrisyys: 0,418
Inklinaatio: 116,2°
Nousevan solmun pituus: 208,6°
Perihelin argumentti: 277,4°
Keskianomalia: 310,6°
Epookki: 2025 OCT 22 02:55:48
orbit plot

Ei-interaktiivinen kuvaaja | Interaktiivinen kuvaaja

position vs time
speed and acceleration

Skibotn (SKI) cam3


gnomonic
Videot:
• Gnomoninen
• Gnomoninen koordinaateilla
• Alkuperäinen
• Alkuperäinen koordinaateilla
Kuvat:
• Gnomoninen
• Gnomoninen koordinaateilla
• Alkuperäinen
• Alkuperäinen koordinaateilla
Tekstitiedostot:
• Havaintoraportti
• Observaatio
• Koordinaatit
• Loki
Kirkkaus

Sorreisa (SOR) cam2


gnomonic
Videot:
• Gnomoninen
• Gnomoninen koordinaateilla
• Alkuperäinen
• Alkuperäinen koordinaateilla
Kuvat:
• Gnomoninen
• Gnomoninen koordinaateilla
• Alkuperäinen
• Alkuperäinen koordinaateilla
Tekstitiedostot:
• Havaintoraportti
• Observaatio
• Koordinaatit
• Loki
Kirkkaus