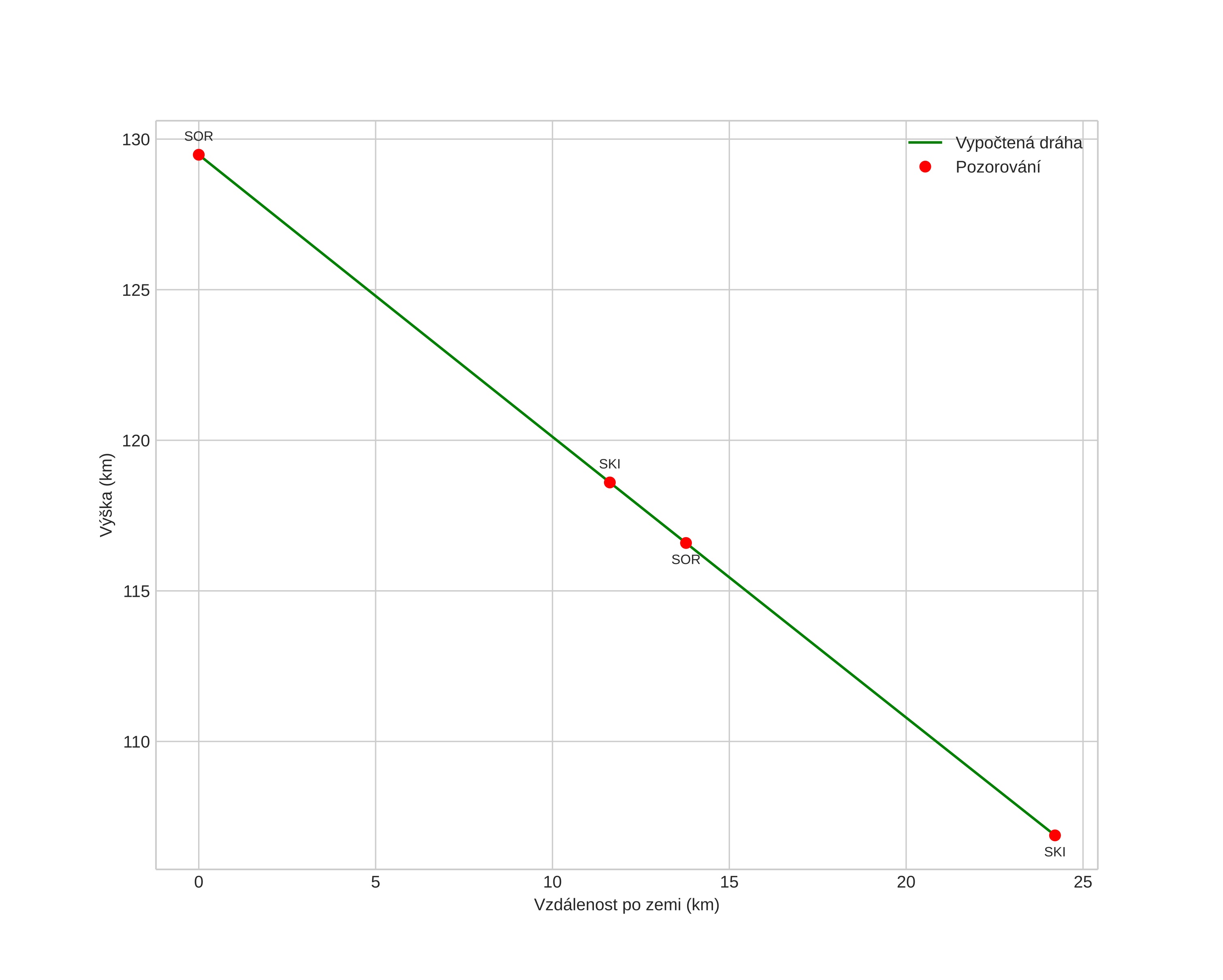
Atmosphärische Bahn des Meteors:
| Anfangshöhe: | 131,7 km |
| Endhöhe: | 107,6 km |
| Startposition: | 68,587N 21,070E |
| Endposition: | 68,823N 21,196E |
| Richtung: | 10,9° |
| Neigungswinkel: | 42,0° |
| Eintrittsgeschwindigkeit: | 81,3 km/s |
| Rektaszension des Radianten: | 07:16 (109,1°) |
| Deklination des Radianten: | 20,7° |
| Meteorstrom: | epsilon-geminidene |
|
Bahnelemente des Meteoroiden:
| Periheldistanz: | 0,886 AU |
| Exzentrizität: | 1,939 |
| Inklination: | 177,4° |
| Länge des aufsteigenden Knotens: | 31,6° |
| Argument des Perihels: | 33,4° |
| Mittlere Anomalie: | -19,2° |
| Epoche: | 2025 OCT 25 04:13:56 |
|