🇳🇴 🇬🇧 🇩🇪 🇨🇿 🇫🇮

Meteor over Storslett 2025-10-25 04:13:56 UTC

KML-fil  |  Interaktivt kart

Kartet viser peilingene for meteoren. De lysere linjene viser retningene fra observasjonsstedene for meteorens tilsynekomst, og de mørkere linjene viser hvor den sist kunne sees. Den blå pila viser meteorens synlige ferd.

static map
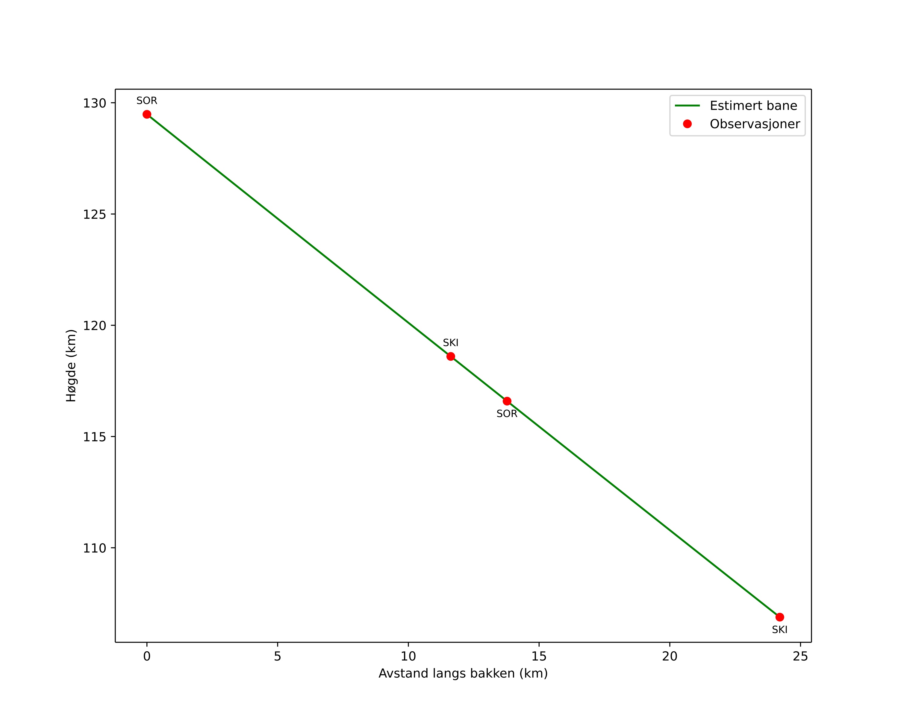
height profile
Meteorens atmosfæriske bane:
Starthøgde: 131,7 km
Slutthøgde: 107,6 km
Startposisjon: 68,587N 21,070E
Sluttposisjon: 68,823N 21,196E
Retning: 10,9°
Fallvinkel: 42,0°
Inngangshastighet: 81,3 km/s
Radiantens rektascensjon: 07:16 (109,1°)
Radiantens deklinasjon: 20,7°
Meteorsverm: epsilon-geminidene
Meteoroidens baneelement:
Perihelavstand: 0,886 AU
Eksentrisitet: 1,939
Inklinasjon: 177,4°
Knutelengde: 31,6°
Perihelargument: 33,4°
Midlere anomali: -19,2°
Epoke: 2025 OCT 25 04:13:56
orbit plot

Ikke-interaktivt plott | Interaktivt plott

position vs time
speed and acceleration

Skibotn (SKI) cam7


gnomonic
Videoer
• Gnomonisk
• Gnomonisk med koordinater
• Original
• Original med koordinater
Bilder
• Gnomonisk
• Gnomonisk med koordinater
• Original
• Original med koordinater
Tekstfiler
• Deteksjon
• Observasjon
• Koordinater
• Logg
Lysstyrke

Sorreisa (SOR) cam2


gnomonic
Videoer
• Gnomonisk
• Gnomonisk med koordinater
• Original
• Original med koordinater
Bilder
• Gnomonisk
• Gnomonisk med koordinater
• Original
• Original med koordinater
Tekstfiler
• Deteksjon
• Observasjon
• Koordinater
• Logg
Lysstyrke