🇳🇴 🇬🇧 🇩🇪 🇨🇿 🇫🇮

Meteor over Vikersund 2025-10-27 20:43:18 UTC

KML-fil

Kartet viser peilingene for meteoren. De lysere linjene viser retningene fra observasjonsstedene for meteorens tilsynekomst, og de mørkere linjene viser hvor den sist kunne sees. Den blå pila viser meteorens synlige ferd.

static map
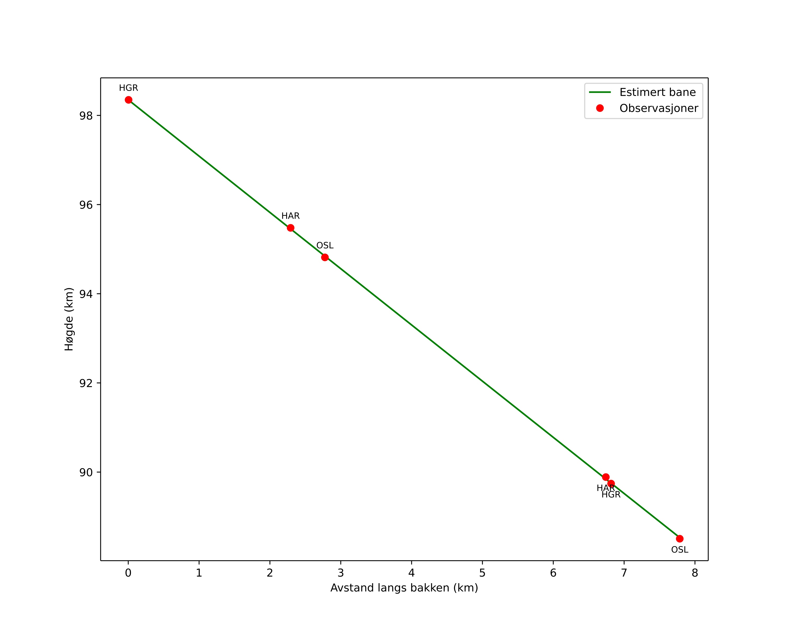
height profile
Meteorens atmosfæriske bane:
Starthøgde: 98,3 km
Slutthøgde: 88,5 km
Startposisjon: 60,139N 9,914E
Sluttposisjon: 60,069N 9,924E
Retning: 175,8°
Fallvinkel: 51,5°
Inngangshastighet: 26,1 km/s
Radiantens rektascensjon: 12:57 (194,3°)
Radiantens deklinasjon: 79,2°
Meteorsverm: sporadisk
Meteoroidens baneelement:
Perihelavstand: 0,954 AU
Eksentrisitet: 0,054
Inklinasjon: 46,3°
Knutelengde: 214,3°
Perihelargument: 257,4°
Midlere anomali: 288,5°
Epoke: 2025 OCT 27 20:43:18
orbit plot

Ikke-interaktivt plott

position vs time
speed and acceleration

Hagar (HGR) cam6


gnomonic
Videoer
• Gnomonisk
• Gnomonisk med koordinater
• Original
• Original (HEVC)
• Original med koordinater
Bilder
• Gnomonisk
• Gnomonisk med koordinater
• Original
• Original med koordinater
Tekstfiler
• Deteksjon
• Observasjon
• Koordinater
• Logg
Lysstyrke

Harestua (HAR) cam7


gnomonic
Videoer
• Gnomonisk
• Gnomonisk med koordinater
• Original
• Original (HEVC)
• Original med koordinater
Bilder
• Gnomonisk
• Gnomonisk med koordinater
• Original
• Original med koordinater
Tekstfiler
• Deteksjon
• Observasjon
• Koordinater
• Logg
Lysstyrke

Voksenlia (OSL) cam7


gnomonic
Videoer
• Gnomonisk
• Gnomonisk med koordinater
• Original
• Original (HEVC)
• Original med koordinater
Bilder
• Gnomonisk
• Gnomonisk med koordinater
• Original
• Original med koordinater
Tekstfiler
• Deteksjon
• Observasjon
• Koordinater
• Logg
Lysstyrke