🇳🇴 🇬🇧 🇩🇪 🇨🇿 🇫🇮

Meteor over Farsund 2025-10-27 22:28:42 UTC

KML-fil  |  Interaktivt kart

Kartet viser peilingene for meteoren. De lysere linjene viser retningene fra observasjonsstedene for meteorens tilsynekomst, og de mørkere linjene viser hvor den sist kunne sees. Den blå pila viser meteorens synlige ferd.

static map
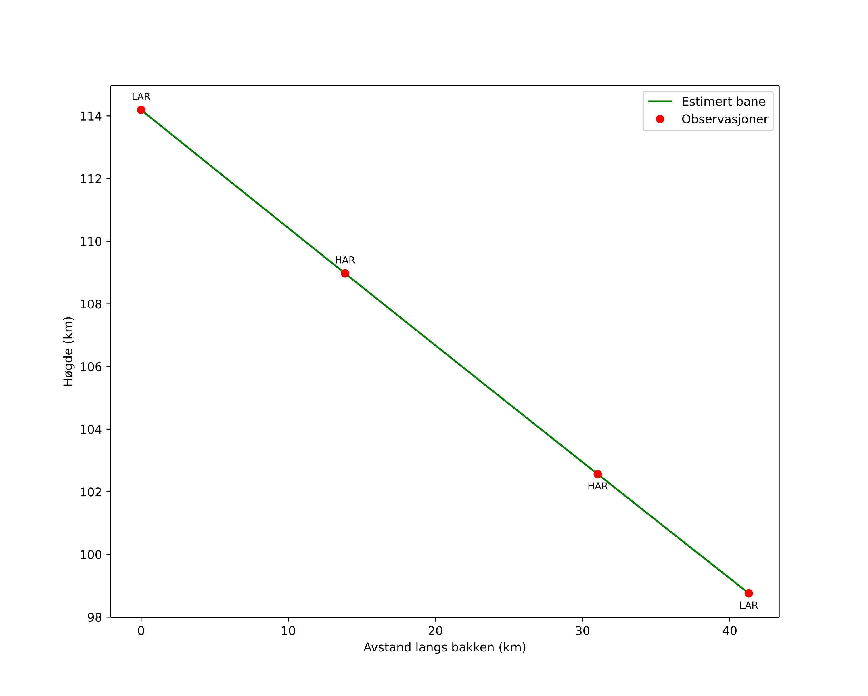
height profile
Meteorens atmosfæriske bane:
Starthøgde: 114,2 km
Slutthøgde: 98,8 km
Startposisjon: 58,090N 7,514E
Sluttposisjon: 57,934N 6,875E
Retning: 245,6°
Fallvinkel: 20,4°
Inngangshastighet: 75,7 km/s
Radiantens rektascensjon: 08:02 (120,7°)
Radiantens deklinasjon: 29,8°
Meteorsverm: epsilon-geminidene
Meteoroidens baneelement:
Perihelavstand: 0,949 AU
Eksentrisitet: 1,342
Inklinasjon: 164,5°
Knutelengde: 214,4°
Perihelargument: 203,0°
Midlere anomali: -3,1°
Epoke: 2025 OCT 27 22:28:42
orbit plot

Ikke-interaktivt plott | Interaktivt plott

position vs time
speed and acceleration

Harestua (HAR) cam4


gnomonic
Videoer
• Gnomonisk
• Gnomonisk med koordinater
• Original
• Original med koordinater
Bilder
• Gnomonisk
• Gnomonisk med koordinater
• Original
• Original med koordinater
Tekstfiler
• Deteksjon
• Observasjon
• Koordinater
• Logg
Lysstyrke

Larvik (LAR) cam4


gnomonic
Videoer
• Gnomonisk
• Gnomonisk med koordinater
• Original
• Original med koordinater
Bilder
• Gnomonisk
• Gnomonisk med koordinater
• Original
• Original med koordinater
Tekstfiler
• Deteksjon
• Observasjon
• Koordinater
• Logg
Lysstyrke