🇳🇴 🇬🇧 🇩🇪 🇨🇿 🇫🇮

Meteor over Lierbyen 2025-10-27 23:11:15 UTC

KML-fil  |  Interaktivt kart

Kartet viser peilingene for meteoren. De lysere linjene viser retningene fra observasjonsstedene for meteorens tilsynekomst, og de mørkere linjene viser hvor den sist kunne sees. Den blå pila viser meteorens synlige ferd.

static map
height profile
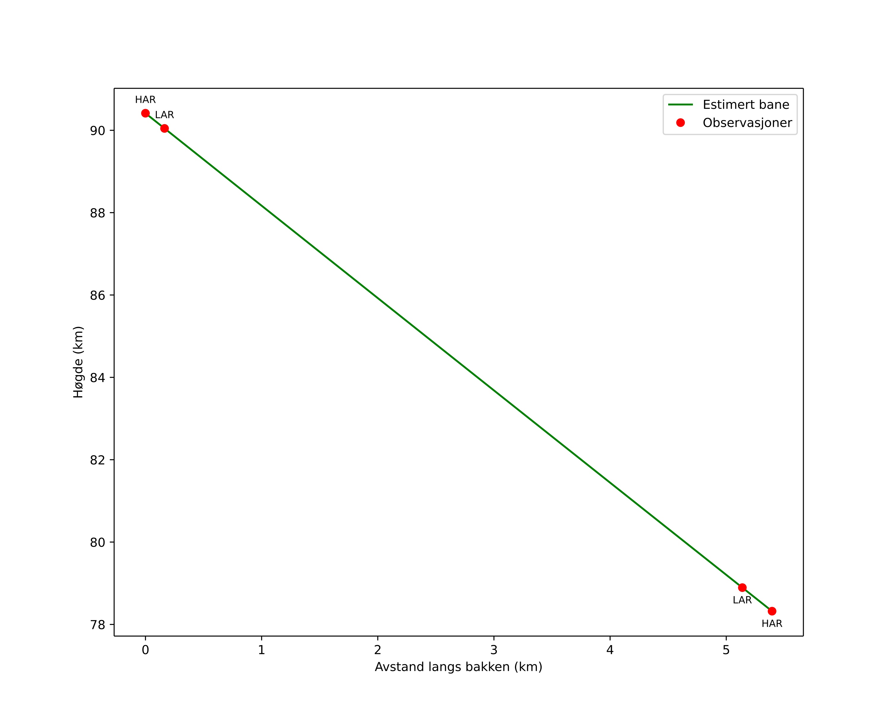
Meteorens atmosfæriske bane:
Starthøgde: 91,0 km
Slutthøgde: 77,8 km
Startposisjon: 59,772N 10,158E
Sluttposisjon: 59,803N 10,243E
Retning: 53,4°
Fallvinkel: 66,0°
Inngangshastighet: 19,6 km/s
Radiantens rektascensjon: 00:22 (5,7°)
Radiantens deklinasjon: 39,4°
Meteorsverm: sporadisk
Meteoroidens baneelement:
Perihelavstand: 0,802 AU
Eksentrisitet: 0,597
Inklinasjon: 15,3°
Knutelengde: 214,4°
Perihelargument: 241,0°
Midlere anomali: 345,7°
Epoke: 2025 OCT 27 23:11:15
orbit plot

Ikke-interaktivt plott | Interaktivt plott

position vs time
speed and acceleration

Harestua (HAR) cam7


gnomonic
Videoer
• Gnomonisk
• Gnomonisk med koordinater
• Original
• Original med koordinater
Bilder
• Gnomonisk
• Gnomonisk med koordinater
• Original
• Original med koordinater
Tekstfiler
• Deteksjon
• Observasjon
• Koordinater
• Logg
Lysstyrke

Larvik (LAR) cam6


gnomonic
Videoer
• Gnomonisk
• Gnomonisk med koordinater
• Original
• Original med koordinater
Bilder
• Gnomonisk
• Gnomonisk med koordinater
• Original
• Original med koordinater
Tekstfiler
• Deteksjon
• Observasjon
• Koordinater
• Logg
Lysstyrke