🇳🇴 🇬🇧 🇩🇪 🇨🇿 🇫🇮

Meteor Skagenin yllä 2025-10-27 23:46:59 UTC

KML-tiedosto

Kartta näyttää meteorin suuntahavainnot. Vaaleammat viivat näyttävät suunnat havaintoasemilta meteorin ilmestyessä, ja tummemmat viivat näyttävät, missä se viimeksi nähtiin. Sininen nuoli näyttää meteorin näkyvän lennon.

static map
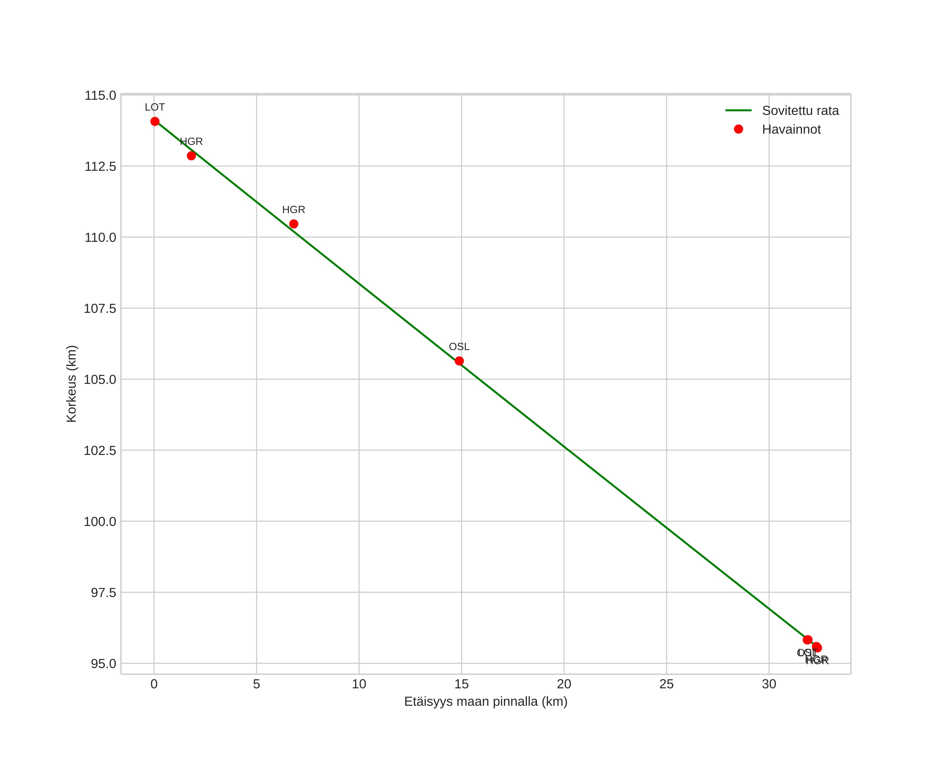
height profile
Meteorin ilmakehärata:
Alkukorkeus: 114,1 km
Loppukorkeus: 95,6 km
Alkupiste: 58,183N 10,825E
Loppupiste: 58,115N 10,289E
Suunta: 256,7°
Kallistuskulma: 29,7°
Tulonopeus: 73,0 km/s
Radiantin R,A,: 08:30 (127,7°)
Radiantin Dekl,: 31,7°
Meteoriparvi: Sporadinen
Meteoroidin rataelementit:
Perihelietäisyys: 0,988 AU
Eksentrisyys: 1,091
Inklinaatio: 159,1°
Nousevan solmun pituus: 214,5°
Perihelin argumentti: 188,4°
Keskianomalia: -0,2°
Epookki: 2025 OCT 27 23:46:59
orbit plot

Ei-interaktiivinen kuvaaja

position vs time
speed and acceleration

Hagar (HGR) cam4


gnomonic
Videot:
• Gnomoninen
• Gnomoninen koordinaateilla
• Alkuperäinen
• Alkuperäinen (HEVC)
• Alkuperäinen koordinaateilla
Kuvat:
• Gnomoninen
• Gnomoninen koordinaateilla
• Alkuperäinen
• Alkuperäinen koordinaateilla
Tekstitiedostot:
• Havaintoraportti
• Observaatio
• Koordinaatit
• Loki
Kirkkaus

Hagar (HGR) cam5


gnomonic
Videot:
• Gnomoninen
• Gnomoninen koordinaateilla
• Alkuperäinen
• Alkuperäinen (HEVC)
• Alkuperäinen koordinaateilla
Kuvat:
• Gnomoninen
• Gnomoninen koordinaateilla
• Alkuperäinen
• Alkuperäinen koordinaateilla
Tekstitiedostot:
• Havaintoraportti
• Observaatio
• Koordinaatit
• Loki
Kirkkaus

Loten (LOT) cam4


gnomonic
Videot:
• Gnomoninen
• Gnomoninen koordinaateilla
• Alkuperäinen
• Alkuperäinen (HEVC)
• Alkuperäinen koordinaateilla
Kuvat:
• Gnomoninen
• Gnomoninen koordinaateilla
• Alkuperäinen
• Alkuperäinen koordinaateilla
Tekstitiedostot:
• Havaintoraportti
• Observaatio
• Koordinaatit
• Loki
Kirkkaus

Voksenlia (OSL) cam4


gnomonic
Videot:
• Gnomoninen
• Gnomoninen koordinaateilla
• Alkuperäinen
• Alkuperäinen (HEVC)
• Alkuperäinen koordinaateilla
Kuvat:
• Gnomoninen
• Gnomoninen koordinaateilla
• Alkuperäinen
• Alkuperäinen koordinaateilla
Tekstitiedostot:
• Havaintoraportti
• Observaatio
• Koordinaatit
• Loki
Kirkkaus