🇳🇴 🇬🇧 🇩🇪 🇨🇿 🇫🇮

Meteor over Töcksfors 2025-10-28 00:44:25 UTC

KML-fil

Kartet viser peilingene for meteoren. De lysere linjene viser retningene fra observasjonsstedene for meteorens tilsynekomst, og de mørkere linjene viser hvor den sist kunne sees. Den blå pila viser meteorens synlige ferd.

static map
height profile
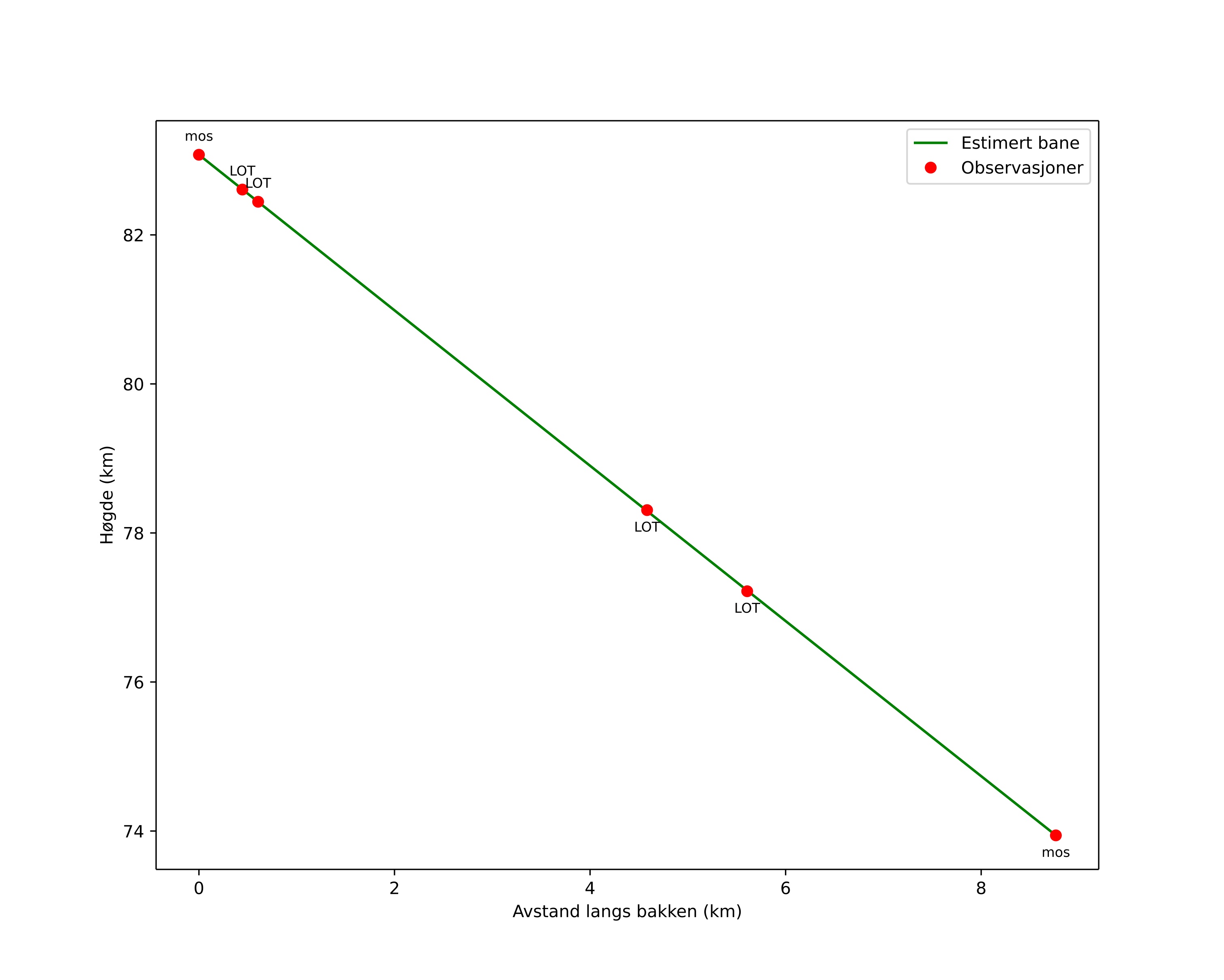
Meteorens atmosfæriske bane:
Starthøgde: 83,1 km
Slutthøgde: 73,9 km
Startposisjon: 59,525N 11,772E
Sluttposisjon: 59,449N 11,809E
Retning: 166,3°
Fallvinkel: 46,4°
Inngangshastighet: 30,0 km/s
Radiantens rektascensjon: 18:24 (276,2°)
Radiantens deklinasjon: 72,8°
Meteorsverm: sporadisk
Meteoroidens baneelement:
Perihelavstand: 0,987 AU
Eksentrisitet: 0,744
Inklinasjon: 44,7°
Knutelengde: 214,5°
Perihelargument: 190,1°
Midlere anomali: 359,0°
Epoke: 2025 OCT 28 00:44:25
orbit plot

Ikke-interaktivt plott

position vs time
speed and acceleration

Loten (LOT) cam3


gnomonic
Videoer
• Gnomonisk
• Gnomonisk med koordinater
• Original
• Original (HEVC)
• Original med koordinater
Bilder
• Gnomonisk
• Gnomonisk med koordinater
• Original
• Original med koordinater
Tekstfiler
• Deteksjon
• Observasjon
• Koordinater
• Logg
Lysstyrke

Loten (LOT) cam4


gnomonic
Videoer
• Gnomonisk
• Gnomonisk med koordinater
• Original
• Original (HEVC)
• Original med koordinater
Bilder
• Gnomonisk
• Gnomonisk med koordinater
• Original
• Original med koordinater
Tekstfiler
• Deteksjon
• Observasjon
• Koordinater
• Logg
Lysstyrke

Moss (mos) cam7


gnomonic
Videoer
• Gnomonisk
• Gnomonisk med koordinater
• Original
• Original (HEVC)
• Original med koordinater
Bilder
• Gnomonisk
• Gnomonisk med koordinater
• Original
• Original med koordinater
Tekstfiler
• Deteksjon
• Observasjon
• Koordinater
• Logg
Lysstyrke