🇳🇴 🇬🇧 🇩🇪 🇨🇿 🇫🇮

Meteor Åndalsnesin yllä 2025-10-28 01:27:52 UTC

KML-tiedosto

Kartta näyttää meteorin suuntahavainnot. Vaaleammat viivat näyttävät suunnat havaintoasemilta meteorin ilmestyessä, ja tummemmat viivat näyttävät, missä se viimeksi nähtiin. Sininen nuoli näyttää meteorin näkyvän lennon.

static map
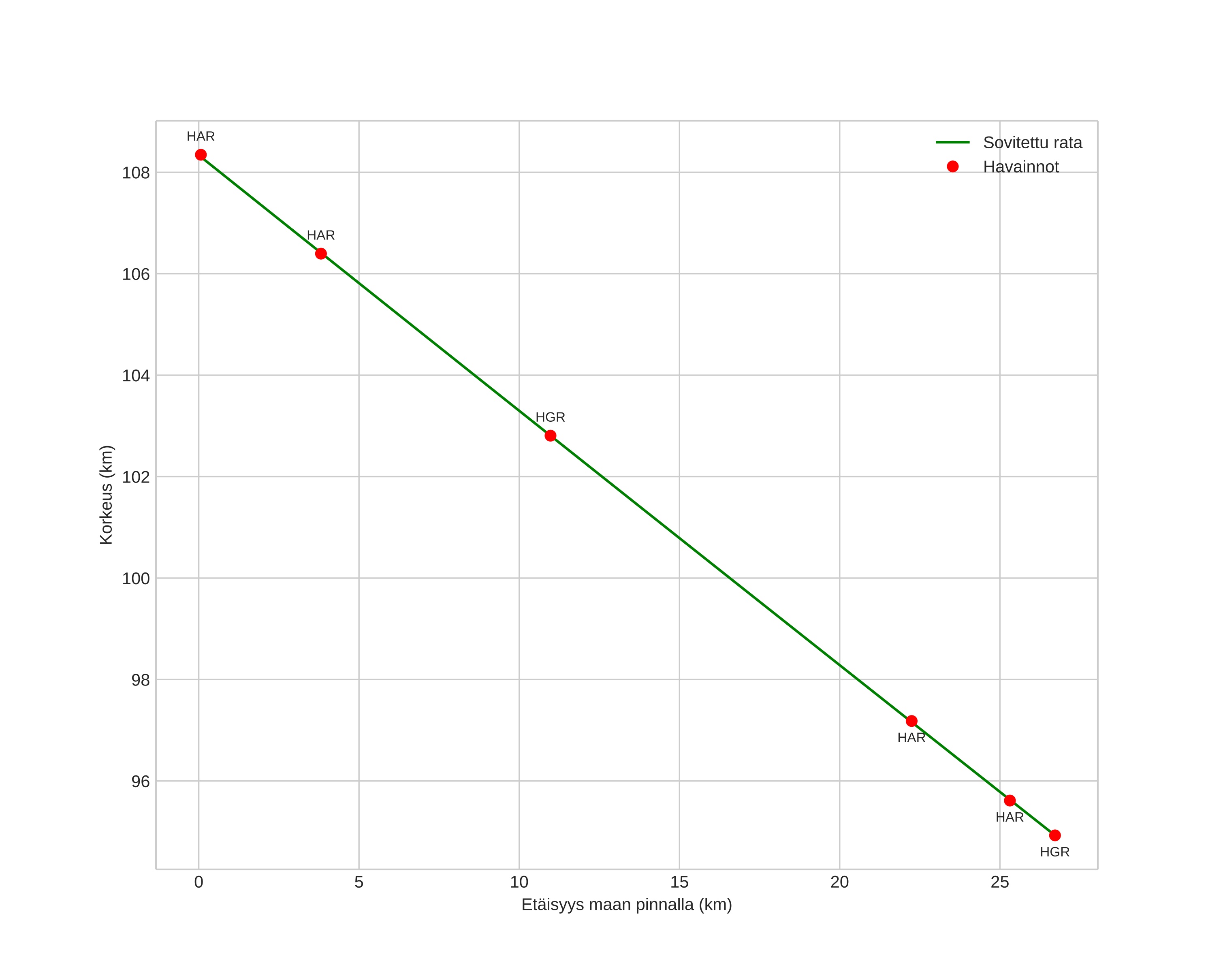
height profile
Meteorin ilmakehärata:
Alkukorkeus: 108,3 km
Loppukorkeus: 94,9 km
Alkupiste: 62,110N 7,746E
Loppupiste: 62,315N 7,477E
Suunta: 328,7°
Kallistuskulma: 26,6°
Tulonopeus: 62,5 km/s
Radiantin R,A,: 06:14 (93,6°)
Radiantin Dekl,: 1,7°
Meteoriparvi: Sporadinen
Meteoroidin rataelementit:
Perihelietäisyys: 0,494 AU
Eksentrisyys: 0,984
Inklinaatio: 130,0°
Nousevan solmun pituus: 34,5°
Perihelin argumentti: 90,7°
Keskianomalia: 359,8°
Epookki: 2025 OCT 28 01:27:52
orbit plot

Ei-interaktiivinen kuvaaja

position vs time
speed and acceleration

Hagar (HGR) cam1


gnomonic
Videot:
• Gnomoninen
• Gnomoninen koordinaateilla
• Alkuperäinen
• Alkuperäinen (HEVC)
• Alkuperäinen koordinaateilla
Kuvat:
• Gnomoninen
• Gnomoninen koordinaateilla
• Alkuperäinen
• Alkuperäinen koordinaateilla
Tekstitiedostot:
• Havaintoraportti
• Observaatio
• Koordinaatit
• Loki
Kirkkaus

Harestua (HAR) cam1


gnomonic
Videot:
• Gnomoninen
• Gnomoninen koordinaateilla
• Alkuperäinen
• Alkuperäinen (HEVC)
• Alkuperäinen koordinaateilla
Kuvat:
• Gnomoninen
• Gnomoninen koordinaateilla
• Alkuperäinen
• Alkuperäinen koordinaateilla
Tekstitiedostot:
• Havaintoraportti
• Observaatio
• Koordinaatit
• Loki
Kirkkaus

Harestua (HAR) cam5


gnomonic
Videot:
• Gnomoninen
• Gnomoninen koordinaateilla
• Alkuperäinen
• Alkuperäinen (HEVC)
• Alkuperäinen koordinaateilla
Kuvat:
• Gnomoninen
• Gnomoninen koordinaateilla
• Alkuperäinen
• Alkuperäinen koordinaateilla
Tekstitiedostot:
• Havaintoraportti
• Observaatio
• Koordinaatit
• Loki
Kirkkaus