🇳🇴 🇬🇧 🇩🇪 🇨🇿 🇫🇮

Meteor over Torsby 2025-10-28 01:30:51 UTC

KML-fil  |  Interaktivt kart

Kartet viser peilingene for meteoren. De lysere linjene viser retningene fra observasjonsstedene for meteorens tilsynekomst, og de mørkere linjene viser hvor den sist kunne sees. Den blå pila viser meteorens synlige ferd.

static map
height profile
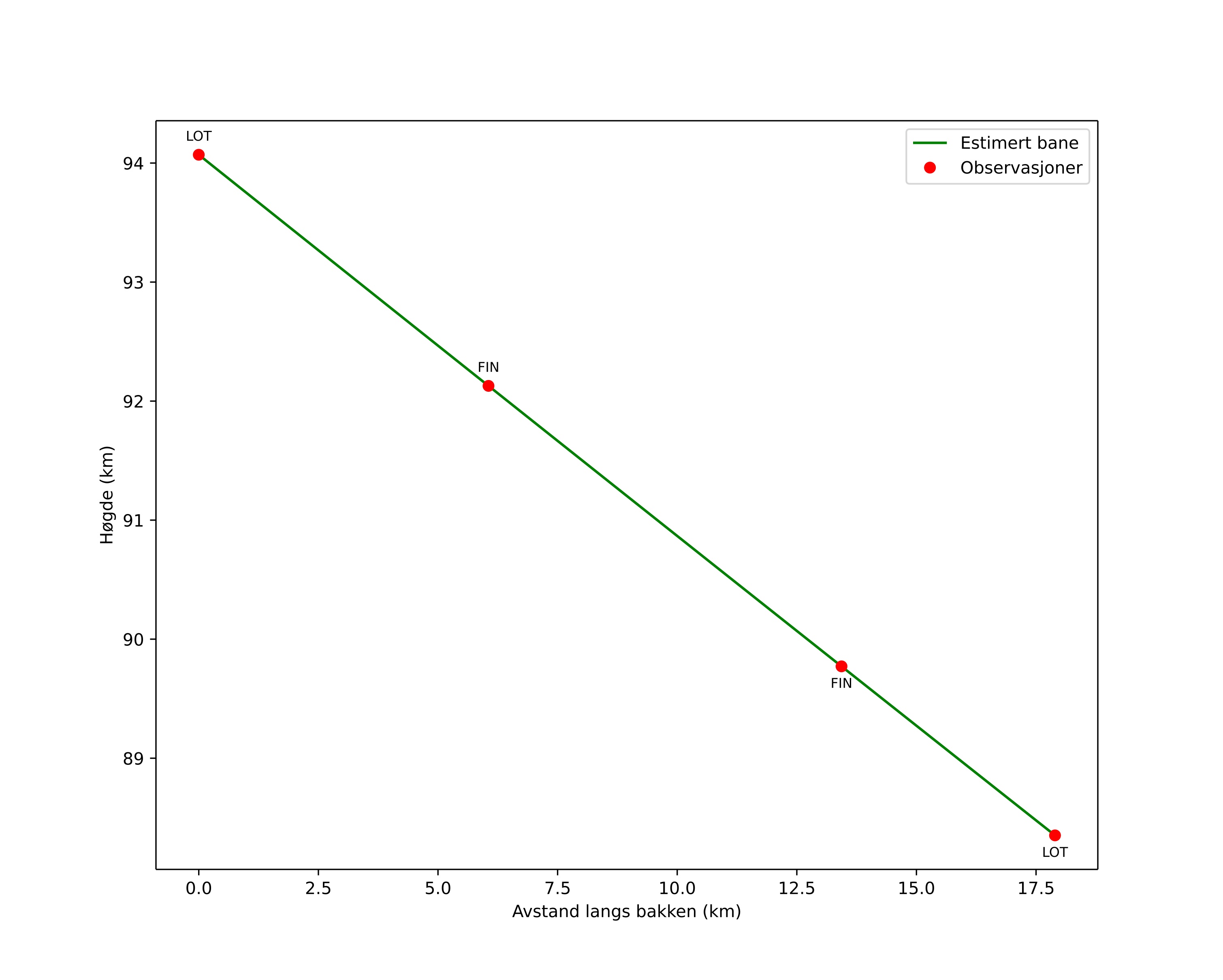
Meteorens atmosfæriske bane:
Starthøgde: 94,6 km
Slutthøgde: 90,2 km
Startposisjon: 60,955N 12,592E
Sluttposisjon: 60,729N 12,686E
Retning: 168,5°
Fallvinkel: 9,8°
Inngangshastighet: 21,1 km/s
Radiantens rektascensjon: 17:42 (265,6°)
Radiantens deklinasjon: 30,3°
Meteorsverm: sporadisk
Meteoroidens baneelement:
Perihelavstand: 0,968 AU
Eksentrisitet: 0,906
Inklinasjon: 20,9°
Knutelengde: 214,5°
Perihelargument: 160,9°
Midlere anomali: 0,4°
Epoke: 2025 OCT 28 01:30:51
orbit plot

Ikke-interaktivt plott | Interaktivt plott

position vs time
speed and acceleration

Finnskogen (FIN) cam7


gnomonic
Videoer
• Gnomonisk
• Gnomonisk med koordinater
• Original
• Original med koordinater
Bilder
• Gnomonisk
• Gnomonisk med koordinater
• Original
• Original med koordinater
Tekstfiler
• Deteksjon
• Observasjon
• Koordinater
• Logg
Lysstyrke

Loten (LOT) cam6


gnomonic
Videoer
• Gnomonisk
• Gnomonisk med koordinater
• Original
• Original med koordinater
Bilder
• Gnomonisk
• Gnomonisk med koordinater
• Original
• Original med koordinater
Tekstfiler
• Deteksjon
• Observasjon
• Koordinater
• Logg
Lysstyrke