🇳🇴 🇬🇧 🇩🇪 🇨🇿 🇫🇮

Meteor over Flå 2025-10-28 05:04:51 UTC

KML-fil

Kartet viser peilingene for meteoren. De lysere linjene viser retningene fra observasjonsstedene for meteorens tilsynekomst, og de mørkere linjene viser hvor den sist kunne sees. Den blå pila viser meteorens synlige ferd.

static map
height profile
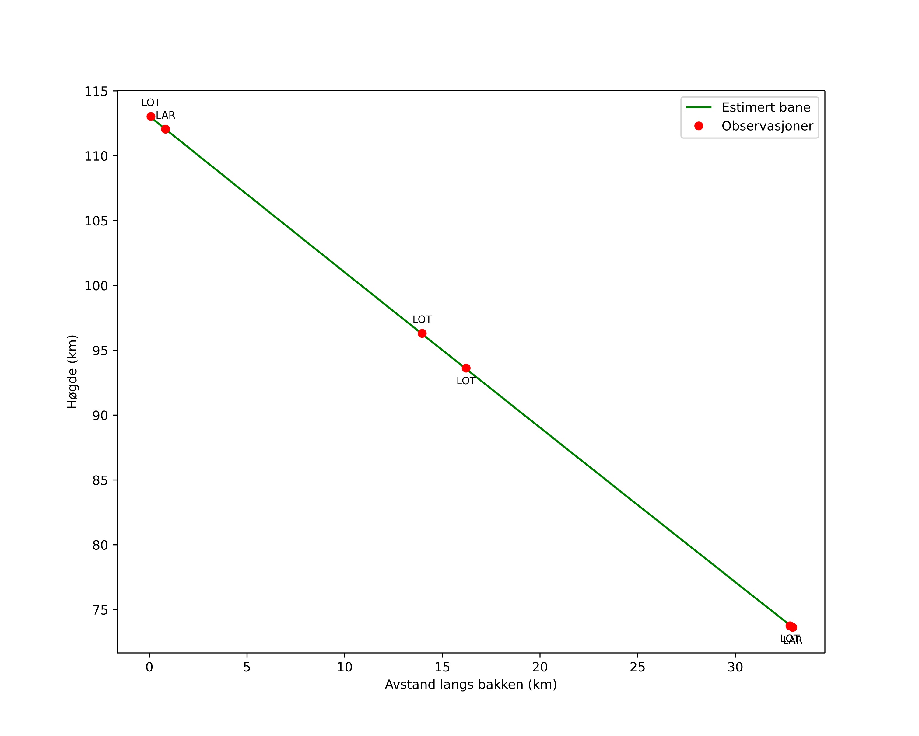
Meteorens atmosfæriske bane:
Starthøgde: 113,0 km
Slutthøgde: 73,6 km
Startposisjon: 60,352N 10,251E
Sluttposisjon: 60,417N 9,666E
Retning: 282,9°
Fallvinkel: 50,1°
Inngangshastighet: 60,2 km/s
Radiantens rektascensjon: 11:35 (174,0°)
Radiantens deklinasjon: 36,4°
Meteorsverm: sporadisk
Meteoroidens baneelement:
Perihelavstand: 0,580 AU
Eksentrisitet: 1,028
Inklinasjon: 111,9°
Knutelengde: 214,7°
Perihelargument: 100,2°
Midlere anomali: 0,4°
Epoke: 2025 OCT 28 05:04:51
orbit plot

Ikke-interaktivt plott

position vs time
speed and acceleration

Larvik (LAR) cam1


gnomonic
Videoer
• Gnomonisk
• Gnomonisk med koordinater
• Original
• Original (HEVC)
• Original med koordinater
Bilder
• Gnomonisk
• Gnomonisk med koordinater
• Original
• Original med koordinater
Tekstfiler
• Deteksjon
• Observasjon
• Koordinater
• Logg
Lysstyrke

Loten (LOT) cam4


gnomonic
Videoer
• Gnomonisk
• Gnomonisk med koordinater
• Original
• Original (HEVC)
• Original med koordinater
Bilder
• Gnomonisk
• Gnomonisk med koordinater
• Original
• Original med koordinater
Tekstfiler
• Deteksjon
• Observasjon
• Koordinater
• Logg
Lysstyrke

Loten (LOT) cam7


gnomonic
Videoer
• Gnomonisk
• Gnomonisk med koordinater
• Original
• Original (HEVC)
• Original med koordinater
Bilder
• Gnomonisk
• Gnomonisk med koordinater
• Original
• Original med koordinater
Tekstfiler
• Deteksjon
• Observasjon
• Koordinater
• Logg
Lysstyrke