🇳🇴 🇬🇧 🇩🇪 🇨🇿 🇫🇮

Meteor over Tolga 2025-10-29 17:57:05 UTC

KML-fil  |  Interaktivt kart

Kartet viser peilingene for meteoren. De lysere linjene viser retningene fra observasjonsstedene for meteorens tilsynekomst, og de mørkere linjene viser hvor den sist kunne sees. Den blå pila viser meteorens synlige ferd.

static map
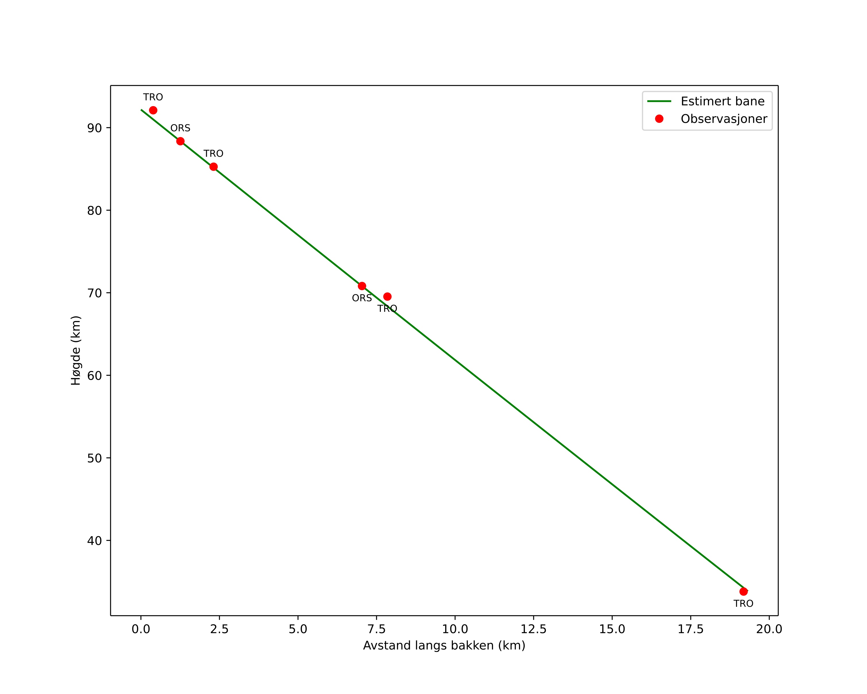
height profile
wind profile
Meteorens atmosfæriske bane:
Starthøgde: 92,2 km
Slutthøgde: 33,8 km
Startposisjon: 62,503N 10,671E
Sluttposisjon: 62,403N 10,975E
Retning: 125,4°
Fallvinkel: 71,8°
Inngangshastighet: 27,8 km/s
Radiantens rektascensjon: 18:11 (272,9°)
Radiantens deklinasjon: 67,4°
Meteorsverm: sporadisk
Meteoroidens baneelement:
Perihelavstand: 0,992 AU
Eksentrisitet: 0,737
Inklinasjon: 40,4°
Knutelengde: 216,2°
Perihelargument: 183,7°
Midlere anomali: 359,6°
Epoke: 2025 OCT 29 17:57:05
orbit plot

Ikke-interaktivt plott | Interaktivt plott

position vs time
speed and acceleration

Orsta (ORS) cam1


gnomonic
Videoer
• Gnomonisk
• Gnomonisk med koordinater
• Original
• Original med koordinater
Bilder
• Gnomonisk
• Gnomonisk med koordinater
• Original
• Original med koordinater
Tekstfiler
• Deteksjon
• Observasjon
• Koordinater
• Logg
Lysstyrke

Trondheim (TRO) cam3


gnomonic
Videoer
• Gnomonisk
• Gnomonisk med koordinater
• Original
• Original med koordinater
Bilder
• Gnomonisk
• Gnomonisk med koordinater
• Original
• Original med koordinater
Tekstfiler
• Deteksjon
• Observasjon
• Koordinater
• Logg
Lysstyrke

Trondheim (TRO) cam7


gnomonic
Videoer
• Gnomonisk
• Gnomonisk med koordinater
• Original
• Original med koordinater
Bilder
• Gnomonisk
• Gnomonisk med koordinater
• Original
• Original med koordinater
Tekstfiler
• Deteksjon
• Observasjon
• Koordinater
• Logg
Lysstyrke