🇳🇴 🇬🇧 🇩🇪 🇨🇿 🇫🇮

Meteor Mauran yllä 2025-10-30 20:17:50 UTC

KML-tiedosto  |  Interaktiivinen kartta

Kartta näyttää meteorin suuntahavainnot. Vaaleammat viivat näyttävät suunnat havaintoasemilta meteorin ilmestyessä, ja tummemmat viivat näyttävät, missä se viimeksi nähtiin. Sininen nuoli näyttää meteorin näkyvän lennon.

static map
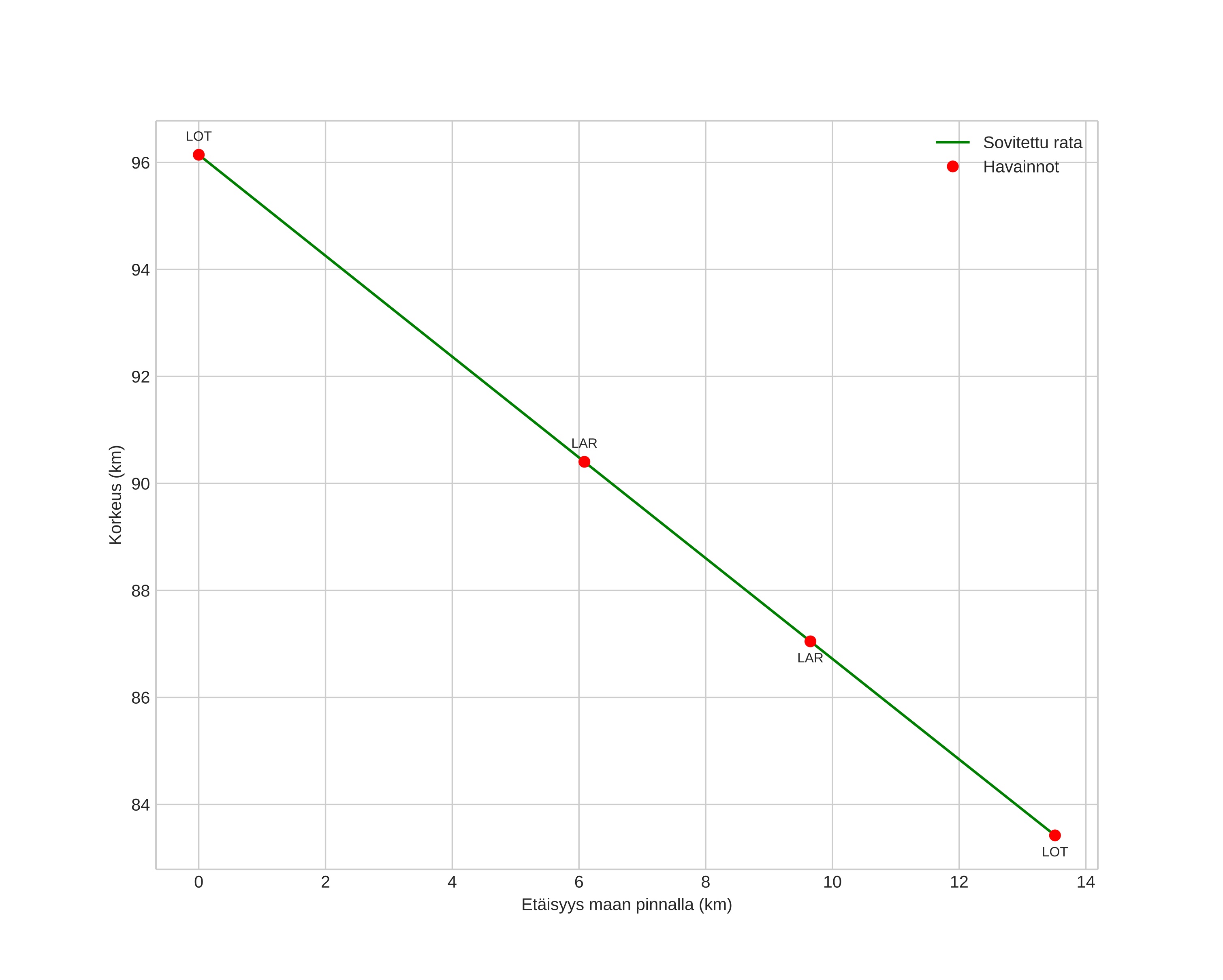
height profile
Meteorin ilmakehärata:
Alkukorkeus: 96,6 km
Loppukorkeus: 82,4 km
Alkupiste: 60,184N 11,236E
Loppupiste: 60,278N 11,056E
Suunta: 316,3°
Kallistuskulma: 44,6°
Tulonopeus: 25,1 km/s
Radiantin R,A,: 01:47 (26,8°)
Radiantin Dekl,: 18,1°
Meteoriparvi: Sporadinen
Meteoroidin rataelementit:
Perihelietäisyys: 0,635 AU
Eksentrisyys: 0,835
Inklinaatio: 4,6°
Nousevan solmun pituus: 217,3°
Perihelin argumentti: 258,0°
Keskianomalia: 354,6°
Epookki: 2025 OCT 30 20:17:50
orbit plot

Ei-interaktiivinen kuvaaja | Interaktiivinen kuvaaja

position vs time
speed and acceleration

Larvik (LAR) cam1


gnomonic
Videot:
• Gnomoninen
• Gnomoninen koordinaateilla
• Alkuperäinen
• Alkuperäinen koordinaateilla
Kuvat:
• Gnomoninen
• Gnomoninen koordinaateilla
• Alkuperäinen
• Alkuperäinen koordinaateilla
Tekstitiedostot:
• Havaintoraportti
• Observaatio
• Koordinaatit
• Loki
Kirkkaus

Loten (LOT) cam7


gnomonic
Videot:
• Gnomoninen
• Gnomoninen koordinaateilla
• Alkuperäinen
• Alkuperäinen koordinaateilla
Kuvat:
• Gnomoninen
• Gnomoninen koordinaateilla
• Alkuperäinen
• Alkuperäinen koordinaateilla
Tekstitiedostot:
• Havaintoraportti
• Observaatio
• Koordinaatit
• Loki
Kirkkaus