🇳🇴 🇬🇧 🇩🇪 🇨🇿 🇫🇮

Meteor, poloha: Koppang 2025-10-30 22:06:06 UTC

Soubor KML  |  Interaktivní mapa

Mapa zobrazuje dráhy meteoru. Světlejší čáry ukazují směry od pozorovacích stanic při objevení se meteoru a tmavší čáry, kde byl naposledy viděn. Modrá šipka značí viditelnou dráhu meteoru.

static map
height profile
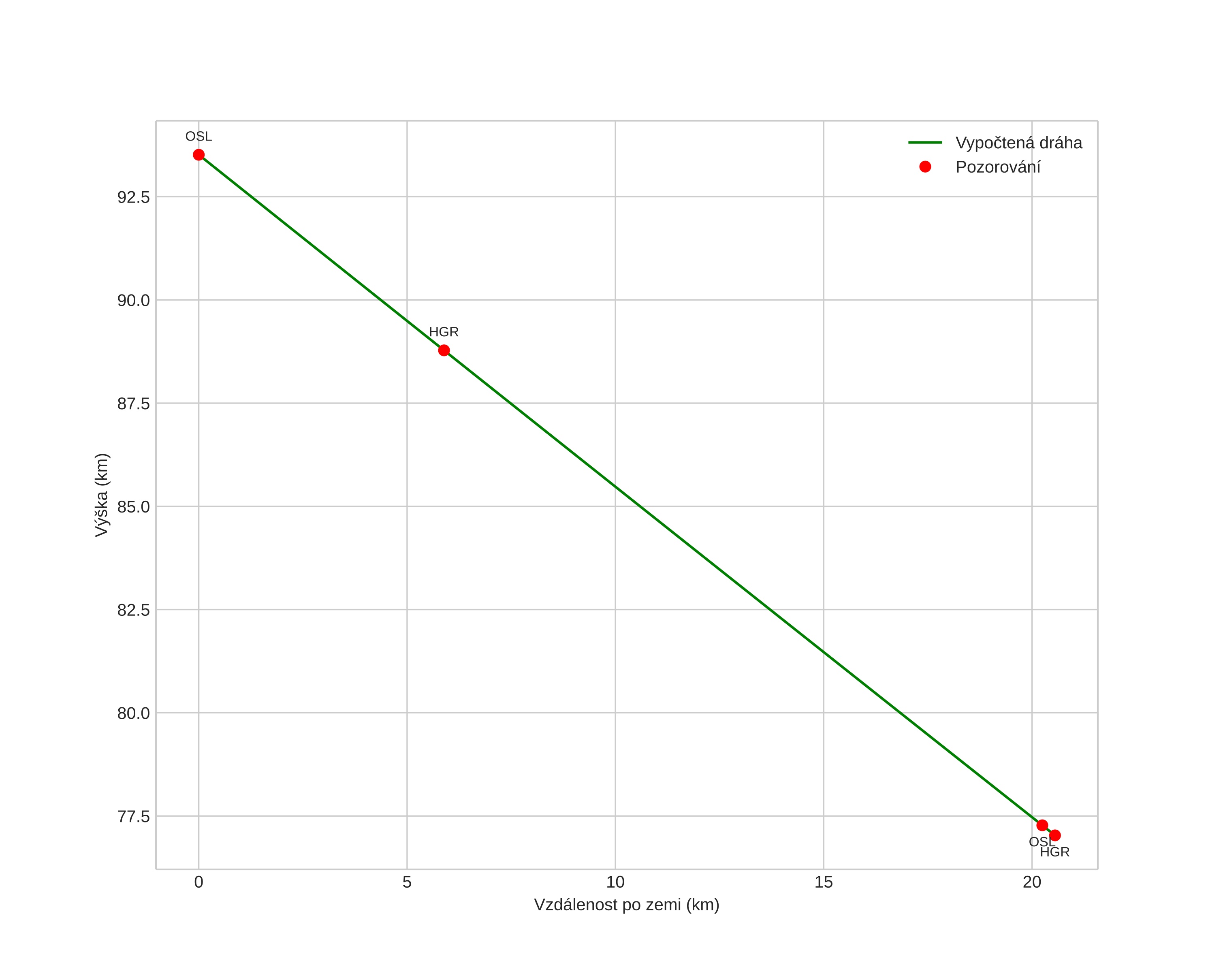
Atmosférická dráha meteoru:
Počáteční výška: 93,4 km
Konečná výška: 77,3 km
Počáteční poloha: 61,151N 11,088E
Konečná poloha: 61,306N 10,886E
Směr: 327,9°
Sklon: 38,4°
Vstupní rychlost: 28,0 km/s
Rektascenze radiantu: 03:08 (47,1°)
Deklinace radiantu: 10,5°
Meteorický roj: Jižní Tauridy
Elementy dráhy meteoroidu:
Vzdálenost v periheliu: 0,412 AU
Excentricita: 0,778
Sklon dráhy: 6,8°
Délka vzestupného uzlu: 37,4°
Argument perihelia: 109,7°
Střední anomálie: 342,4°
Epocha: 2025 OCT 30 22:06:06
orbit plot

Neinteraktivní graf | Interaktivní graf

position vs time
speed and acceleration