🇳🇴 🇬🇧 🇩🇪 🇨🇿 🇫🇮

Meteor over Heggenes 2025-10-30 23:03:14 UTC

KML-fil

Kartet viser peilingene for meteoren. De lysere linjene viser retningene fra observasjonsstedene for meteorens tilsynekomst, og de mørkere linjene viser hvor den sist kunne sees. Den blå pila viser meteorens synlige ferd.

static map
height profile
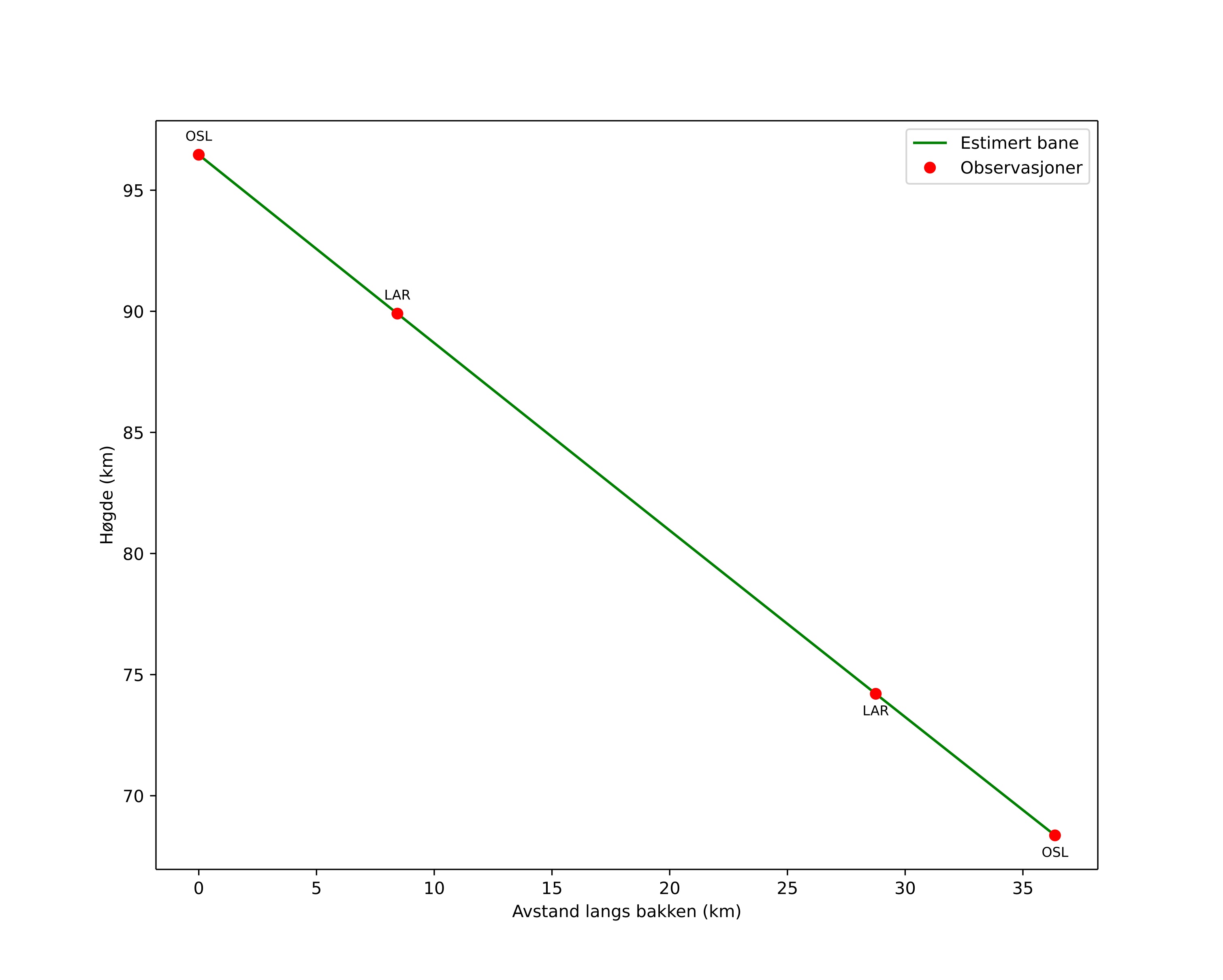
Meteorens atmosfæriske bane:
Starthøgde: 96,5 km
Slutthøgde: 68,4 km
Startposisjon: 60,814N 9,183E
Sluttposisjon: 61,141N 9,166E
Retning: 358,6°
Fallvinkel: 37,7°
Inngangshastighet: 25,2 km/s
Radiantens rektascensjon: 02:18 (34,7°)
Radiantens deklinasjon: 5,3°
Meteorsverm: sporadisk
Meteoroidens baneelement:
Perihelavstand: 0,606 AU
Eksentrisitet: 0,808
Inklinasjon: 5,8°
Knutelengde: 37,4°
Perihelargument: 82,6°
Midlere anomali: 352,6°
Epoke: 2025 OCT 30 23:03:14
orbit plot

Ikke-interaktivt plott

position vs time
speed and acceleration

Larvik (LAR) cam1


gnomonic
Videoer
• Gnomonisk
• Gnomonisk med koordinater
• Original
• Original (HEVC)
• Original med koordinater
Bilder
• Gnomonisk
• Gnomonisk med koordinater
• Original
• Original med koordinater
Tekstfiler
• Deteksjon
• Observasjon
• Koordinater
• Logg
Lysstyrke

Voksenlia (OSL) cam2


gnomonic
Videoer
• Gnomonisk
• Gnomonisk med koordinater
• Original
• Original (HEVC)
• Original med koordinater
Bilder
• Gnomonisk
• Gnomonisk med koordinater
• Original
• Original med koordinater
Tekstfiler
• Deteksjon
• Observasjon
• Koordinater
• Logg
Lysstyrke