🇳🇴 🇬🇧 🇩🇪 🇨🇿 🇫🇮

Meteor Evjen yllä 2025-10-31 00:44:08 UTC

KML-tiedosto  |  Interaktiivinen kartta

Kartta näyttää meteorin suuntahavainnot. Vaaleammat viivat näyttävät suunnat havaintoasemilta meteorin ilmestyessä, ja tummemmat viivat näyttävät, missä se viimeksi nähtiin. Sininen nuoli näyttää meteorin näkyvän lennon.

static map
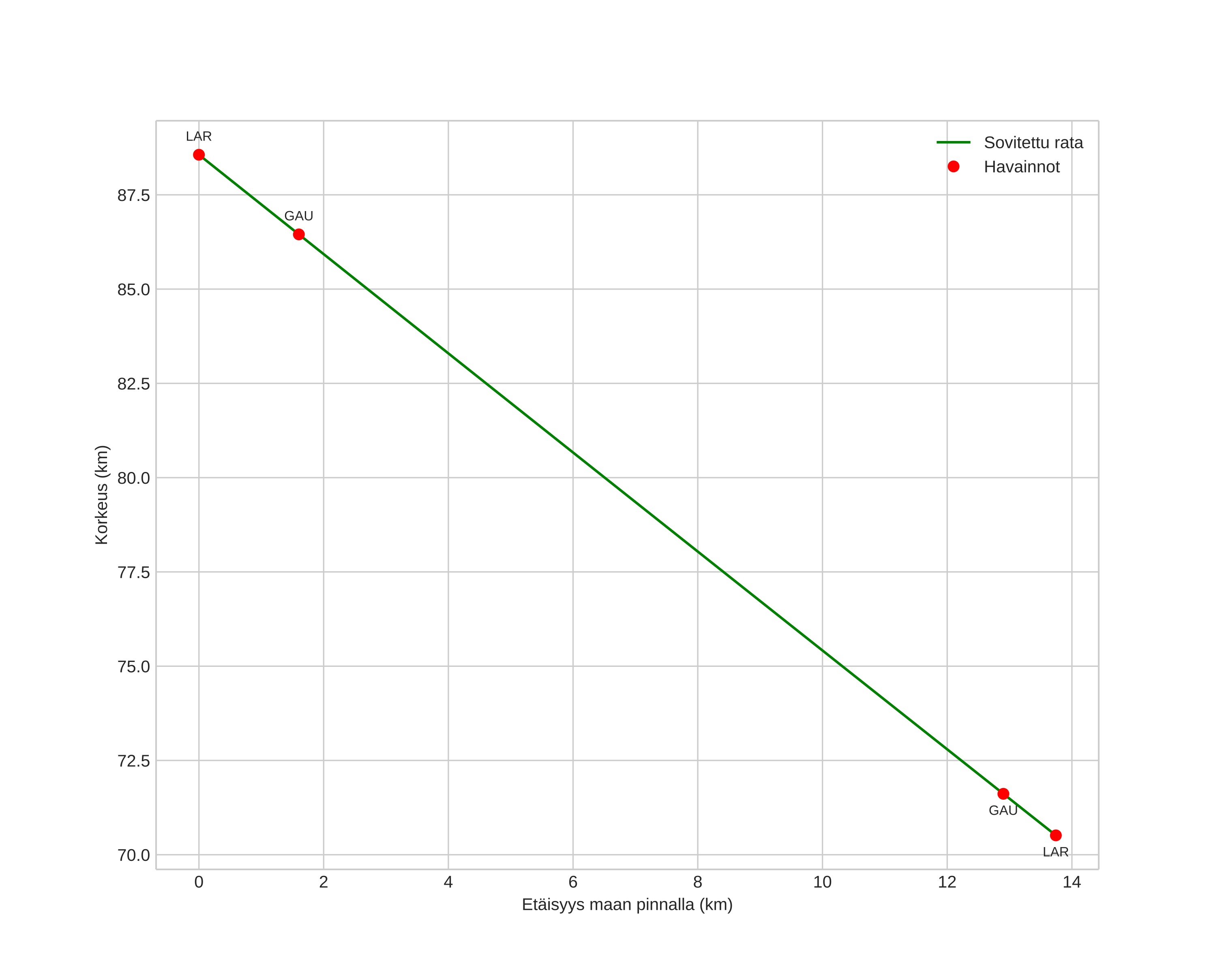
height profile
Meteorin ilmakehärata:
Alkukorkeus: 88,7 km
Loppukorkeus: 70,6 km
Alkupiste: 58,320N 7,557E
Loppupiste: 58,440N 7,630E
Suunta: 17,6°
Kallistuskulma: 52,3°
Tulonopeus: 30,5 km/s
Radiantin R,A,: 03:02 (45,5°)
Radiantin Dekl,: 19,9°
Meteoriparvi: Pohjoiset tauridit
Meteoroidin rataelementit:
Perihelietäisyys: 0,361 AU
Eksentrisyys: 0,844
Inklinaatio: 3,0°
Nousevan solmun pituus: 217,5°
Perihelin argumentti: 293,0°
Keskianomalia: 348,2°
Epookki: 2025 OCT 31 00:44:08
orbit plot

Ei-interaktiivinen kuvaaja | Interaktiivinen kuvaaja

position vs time
speed and acceleration

Gaustatoppen (GAU) cam4


gnomonic
Videot:
• Gnomoninen
• Gnomoninen koordinaateilla
• Alkuperäinen
• Alkuperäinen koordinaateilla
Kuvat:
• Gnomoninen
• Gnomoninen koordinaateilla
• Alkuperäinen
• Alkuperäinen koordinaateilla
Tekstitiedostot:
• Havaintoraportti
• Observaatio
• Koordinaatit
• Loki
Kirkkaus

Larvik (LAR) cam4


gnomonic
Videot:
• Gnomoninen
• Gnomoninen koordinaateilla
• Alkuperäinen
• Alkuperäinen koordinaateilla
Kuvat:
• Gnomoninen
• Gnomoninen koordinaateilla
• Alkuperäinen
• Alkuperäinen koordinaateilla
Tekstitiedostot:
• Havaintoraportti
• Observaatio
• Koordinaatit
• Loki
Kirkkaus