🇳🇴 🇬🇧 🇩🇪 🇨🇿 🇫🇮

Meteor over Sveg 2025-10-31 01:48:46 UTC

KML-fil

Kartet viser peilingene for meteoren. De lysere linjene viser retningene fra observasjonsstedene for meteorens tilsynekomst, og de mørkere linjene viser hvor den sist kunne sees. Den blå pila viser meteorens synlige ferd.

static map
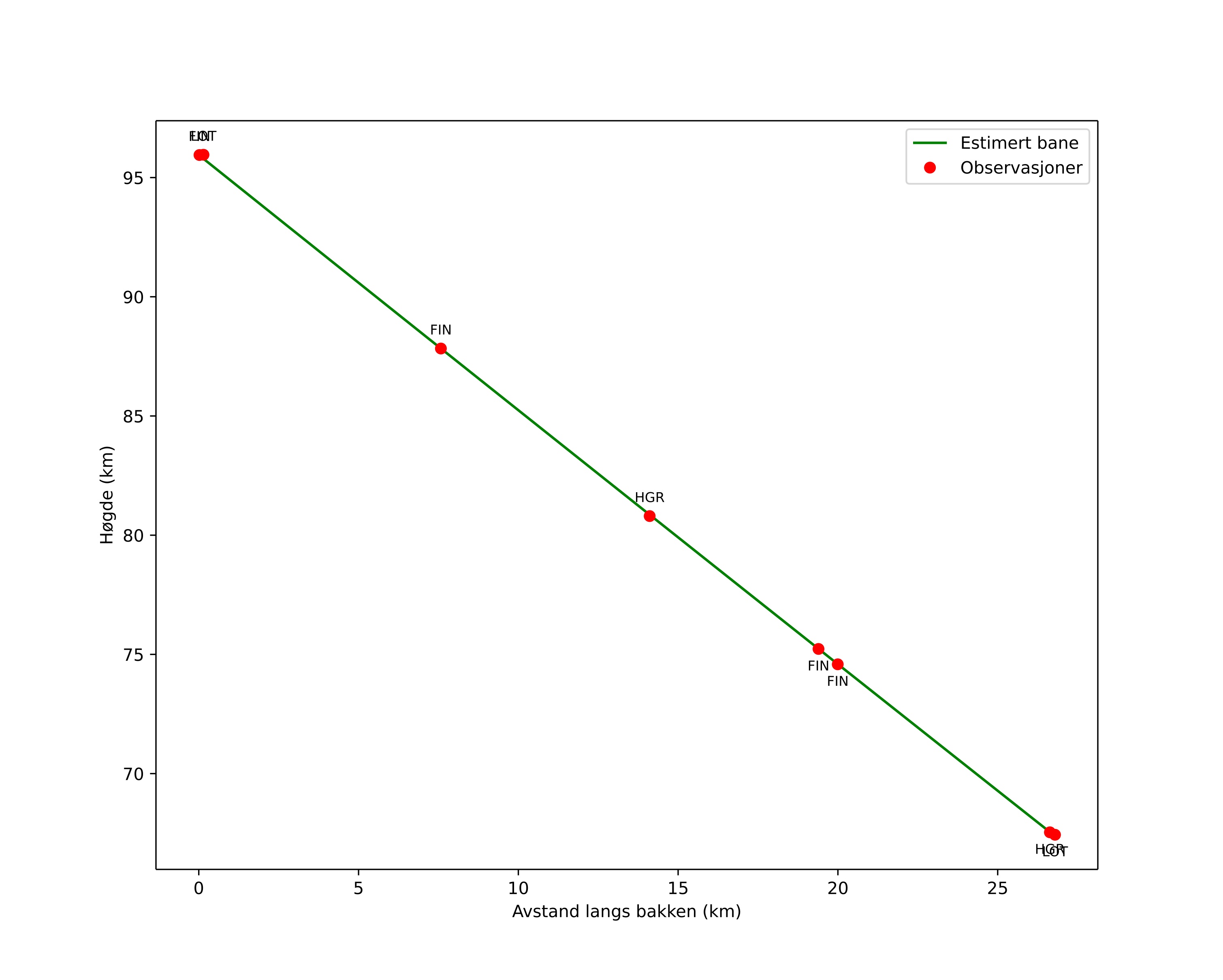
height profile
Meteorens atmosfæriske bane:
Starthøgde: 95,9 km
Slutthøgde: 67,4 km
Startposisjon: 61,578N 13,773E
Sluttposisjon: 61,756N 14,115E
Retning: 42,2°
Fallvinkel: 46,8°
Inngangshastighet: 32,2 km/s
Radiantens rektascensjon: 03:16 (49,1°)
Radiantens deklinasjon: 22,0°
Meteorsverm: Nordlige tauridene
Meteoroidens baneelement:
Perihelavstand: 0,295 AU
Eksentrisitet: 0,863
Inklinasjon: 5,0°
Knutelengde: 217,5°
Perihelargument: 301,2°
Midlere anomali: 347,3°
Epoke: 2025 OCT 31 01:48:46
orbit plot

Ikke-interaktivt plott

position vs time
speed and acceleration

Finnskogen (FIN) cam1


gnomonic
Videoer
• Gnomonisk
• Gnomonisk med koordinater
• Original
• Original (HEVC)
• Original med koordinater
Bilder
• Gnomonisk
• Gnomonisk med koordinater
• Original
• Original med koordinater
Tekstfiler
• Deteksjon
• Observasjon
• Koordinater
• Logg
Lysstyrke

Finnskogen (FIN) cam6


gnomonic
Videoer
• Gnomonisk
• Gnomonisk med koordinater
• Original
• Original (HEVC)
• Original med koordinater
Bilder
• Gnomonisk
• Gnomonisk med koordinater
• Original
• Original med koordinater
Tekstfiler
• Deteksjon
• Observasjon
• Koordinater
• Logg
Lysstyrke

Hagar (HGR) cam3


gnomonic
Videoer
• Gnomonisk
• Gnomonisk med koordinater
• Original
• Original (HEVC)
• Original med koordinater
Bilder
• Gnomonisk
• Gnomonisk med koordinater
• Original
• Original med koordinater
Tekstfiler
• Deteksjon
• Observasjon
• Koordinater
• Logg
Lysstyrke

Loten (LOT) cam2


gnomonic
Videoer
• Gnomonisk
• Gnomonisk med koordinater
• Original
• Original (HEVC)
• Original med koordinater
Bilder
• Gnomonisk
• Gnomonisk med koordinater
• Original
• Original med koordinater
Tekstfiler
• Deteksjon
• Observasjon
• Koordinater
• Logg
Lysstyrke