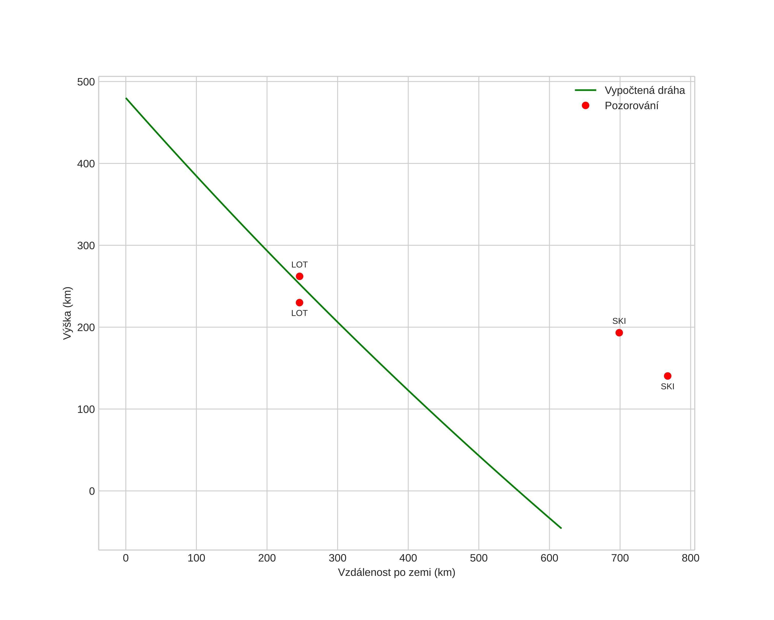
Atmosférická dráha meteoru:
| Počátečnà výška: | 480,0 km |
| Konečná výška: | -47,1 km |
| Počátečnà poloha: | 61,888N 13,654E |
| Konečná poloha: | 67,460N 13,918E |
| Směr: | 1,0° |
| Sklon: | 40,4° |
| VstupnĂ rychlost: | 33,4 km/s |
| Rektascenze radiantu: | 07:52 (118,2°) |
| Deklinace radiantu: | 10,8° |
| MeteorickĂ˝ roj: | sporadickĂ˝ |
|
Elementy dráhy meteoroidu:
| Vzdálenost v periheliu: | 0,017 AU |
| Excentricita: | 0,967 |
| Sklon dráhy: | 98,0° |
| Délka vzestupného uzlu: | 37,7° |
| Argument perihelia: | 178,0° |
| Střednà anomálie: | 210,6° |
| Epocha: | 2025 OCT 31 04:26:06 |
|