🇳🇴 🇬🇧 🇩🇪 🇨🇿 🇫🇮

Meteor Inndyrin yllä 2025-10-31 04:26:06 UTC

KML-tiedosto  |  Interaktiivinen kartta

Kartta näyttää meteorin suuntahavainnot. Vaaleammat viivat näyttävät suunnat havaintoasemilta meteorin ilmestyessä, ja tummemmat viivat näyttävät, missä se viimeksi nähtiin. Sininen nuoli näyttää meteorin näkyvän lennon.

static map
height profile
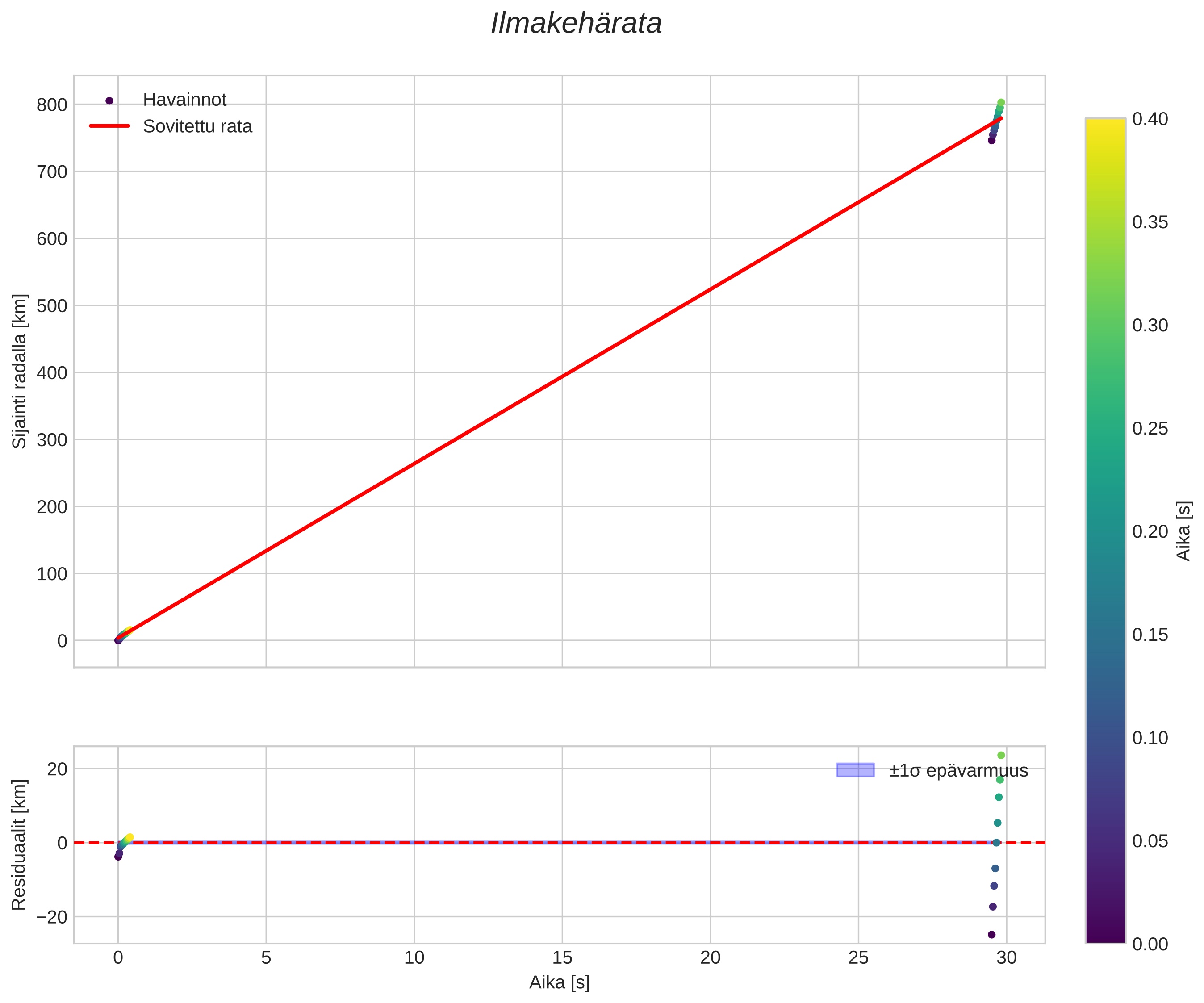
Meteorin ilmakehärata:
Alkukorkeus: 480,0 km
Loppukorkeus: -47,1 km
Alkupiste: 61,888N 13,654E
Loppupiste: 67,460N 13,918E
Suunta: 1,0°
Kallistuskulma: 40,4°
Tulonopeus: 33,4 km/s
Radiantin R,A,: 07:52 (118,2°)
Radiantin Dekl,: 10,8°
Meteoriparvi: Sporadinen
Meteoroidin rataelementit:
Perihelietäisyys: 0,017 AU
Eksentrisyys: 0,967
Inklinaatio: 98,0°
Nousevan solmun pituus: 37,7°
Perihelin argumentti: 178,0°
Keskianomalia: 210,6°
Epookki: 2025 OCT 31 04:26:06
orbit plot

Ei-interaktiivinen kuvaaja | Interaktiivinen kuvaaja

position vs time
speed and acceleration

Loten (LOT) cam3


gnomonic
Videot:
• Gnomoninen
• Gnomoninen koordinaateilla
• Alkuperäinen
• Alkuperäinen koordinaateilla
Kuvat:
• Gnomoninen
• Gnomoninen koordinaateilla
• Alkuperäinen
• Alkuperäinen koordinaateilla
Tekstitiedostot:
• Havaintoraportti
• Observaatio
• Koordinaatit
• Loki
Kirkkaus

Skibotn (SKI) cam4


gnomonic
Videot:
• Gnomoninen
• Gnomoninen koordinaateilla
• Alkuperäinen
• Alkuperäinen koordinaateilla
Kuvat:
• Gnomoninen
• Gnomoninen koordinaateilla
• Alkuperäinen
• Alkuperäinen koordinaateilla
Tekstitiedostot:
• Havaintoraportti
• Observaatio
• Koordinaatit
• Loki
Kirkkaus