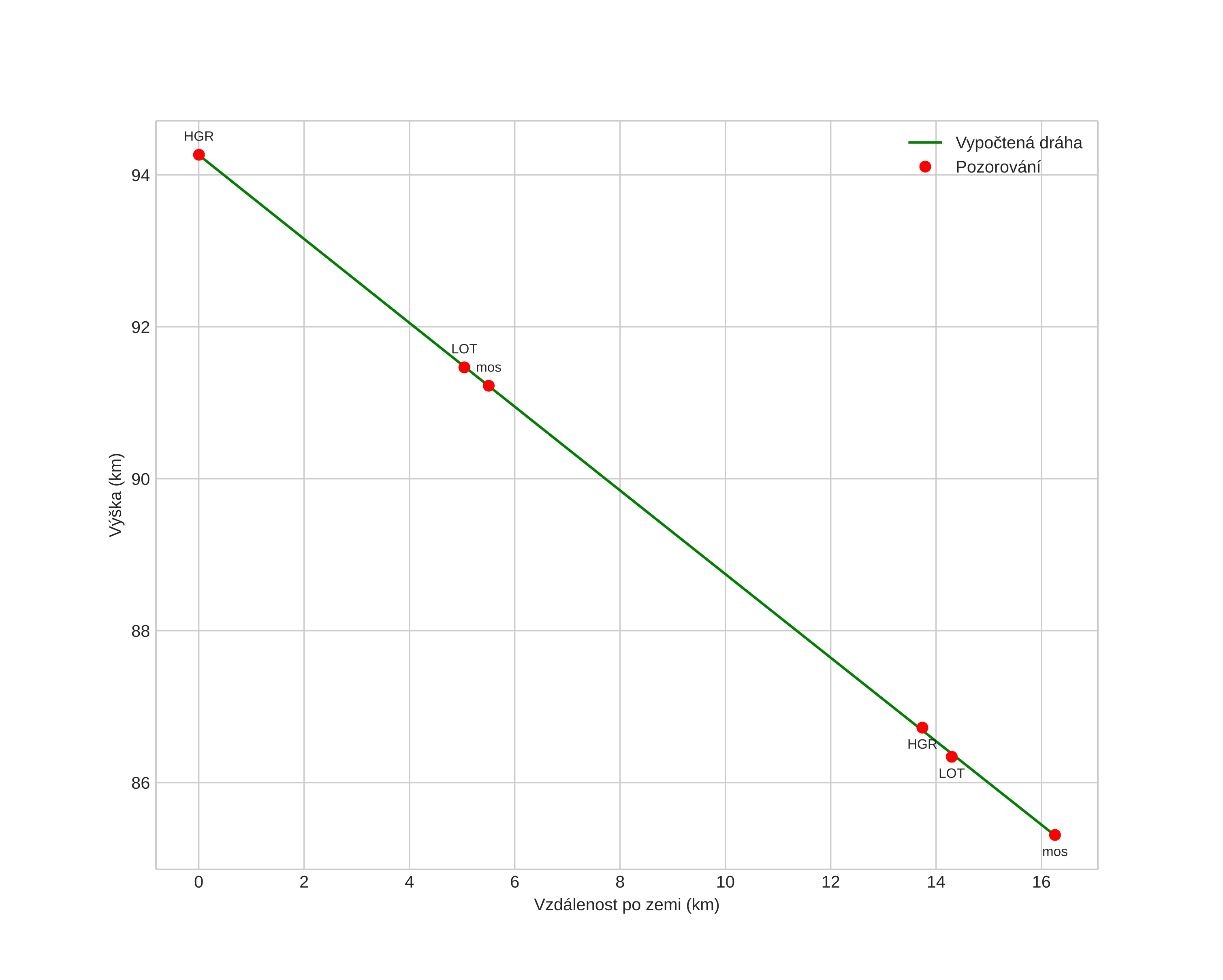
Atmosphärische Bahn des Meteors:
| Anfangshöhe: | 96,5 km |
| Endhöhe: | 82,0 km |
| Startposition: | 59,922N 9,846E |
| Endposition: | 59,935N 10,323E |
| Richtung: | 86,7° |
| Neigungswinkel: | 28,6° |
| Eintrittsgeschwindigkeit: | 35,3 km/s |
| Rektaszension des Radianten: | 03:19 (50,0°) |
| Deklination des Radianten: | 21,1° |
| Meteorstrom: | sporadisch |
|
Bahnelemente des Meteoroiden:
| Periheldistanz: | 0,256 AU |
| Exzentrizität: | 0,926 |
| Inklination: | 4,3° |
| Länge des aufsteigenden Knotens: | 217,6° |
| Argument des Perihels: | 302,9° |
| Mittlere Anomalie: | 354,3° |
| Epoche: | 2025 OCT 31 04:55:52 |
|