🇳🇴 🇬🇧 🇩🇪 🇨🇿 🇫🇮

Meteor over Tranby 2025-10-31 04:55:52 UTC

KML-fil

Kartet viser peilingene for meteoren. De lysere linjene viser retningene fra observasjonsstedene for meteorens tilsynekomst, og de mørkere linjene viser hvor den sist kunne sees. Den blå pila viser meteorens synlige ferd.

static map
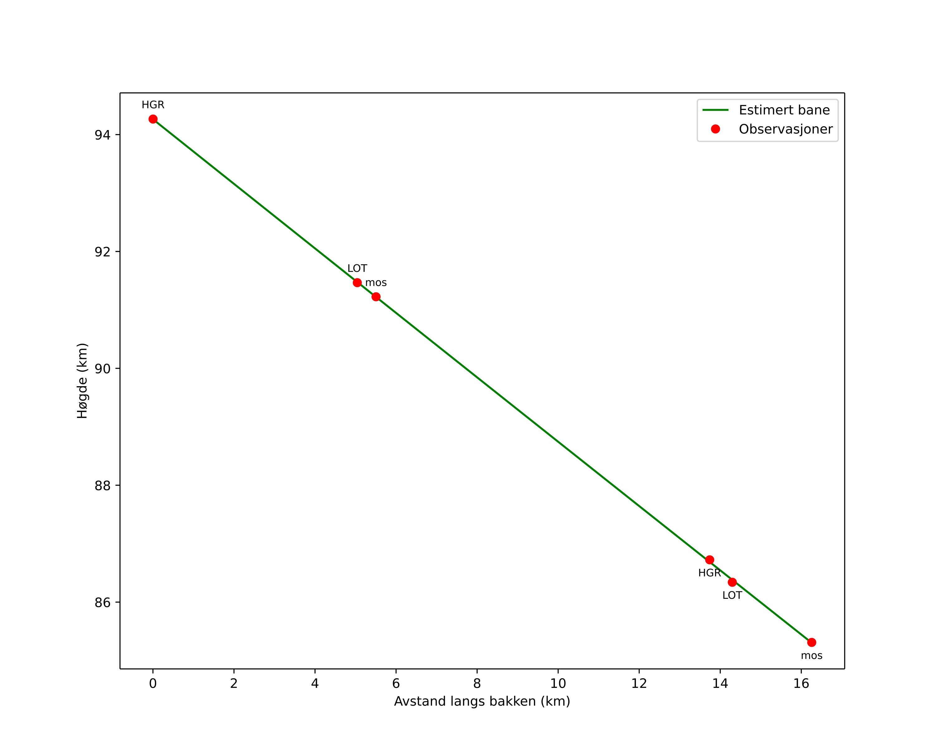
height profile
Meteorens atmosfæriske bane:
Starthøgde: 94,3 km
Slutthøgde: 85,3 km
Startposisjon: 59,923N 9,927E
Sluttposisjon: 59,930N 10,219E
Retning: 87,2°
Fallvinkel: 29,0°
Inngangshastighet: 35,5 km/s
Radiantens rektascensjon: 03:19 (49,9°)
Radiantens deklinasjon: 21,7°
Meteorsverm: sporadisk
Meteoroidens baneelement:
Perihelavstand: 0,254 AU
Eksentrisitet: 0,929
Inklinasjon: 5,3°
Knutelengde: 217,6°
Perihelargument: 303,0°
Midlere anomali: 354,5°
Epoke: 2025 OCT 31 04:55:52
orbit plot

Ikke-interaktivt plott

position vs time
speed and acceleration

Hagar (HGR) cam6


gnomonic
Videoer
• Gnomonisk
• Gnomonisk med koordinater
• Original
• Original (HEVC)
• Original med koordinater
Bilder
• Gnomonisk
• Gnomonisk med koordinater
• Original
• Original med koordinater
Tekstfiler
• Deteksjon
• Observasjon
• Koordinater
• Logg
Lysstyrke

Loten (LOT) cam7


gnomonic
Videoer
• Gnomonisk
• Gnomonisk med koordinater
• Original
• Original (HEVC)
• Original med koordinater
Bilder
• Gnomonisk
• Gnomonisk med koordinater
• Original
• Original med koordinater
Tekstfiler
• Deteksjon
• Observasjon
• Koordinater
• Logg
Lysstyrke

Moss (mos) cam6


gnomonic
Videoer
• Gnomonisk
• Gnomonisk med koordinater
• Original
• Original (HEVC)
• Original med koordinater
Bilder
• Gnomonisk
• Gnomonisk med koordinater
• Original
• Original med koordinater
Tekstfiler
• Deteksjon
• Observasjon
• Koordinater
• Logg
Lysstyrke