🇳🇴 🇬🇧 🇩🇪 🇨🇿 🇫🇮

Meteor Rjukanin yllä 2025-10-31 18:41:07 UTC

KML-tiedosto  |  Interaktiivinen kartta

Kartta näyttää meteorin suuntahavainnot. Vaaleammat viivat näyttävät suunnat havaintoasemilta meteorin ilmestyessä, ja tummemmat viivat näyttävät, missä se viimeksi nähtiin. Sininen nuoli näyttää meteorin näkyvän lennon.

static map
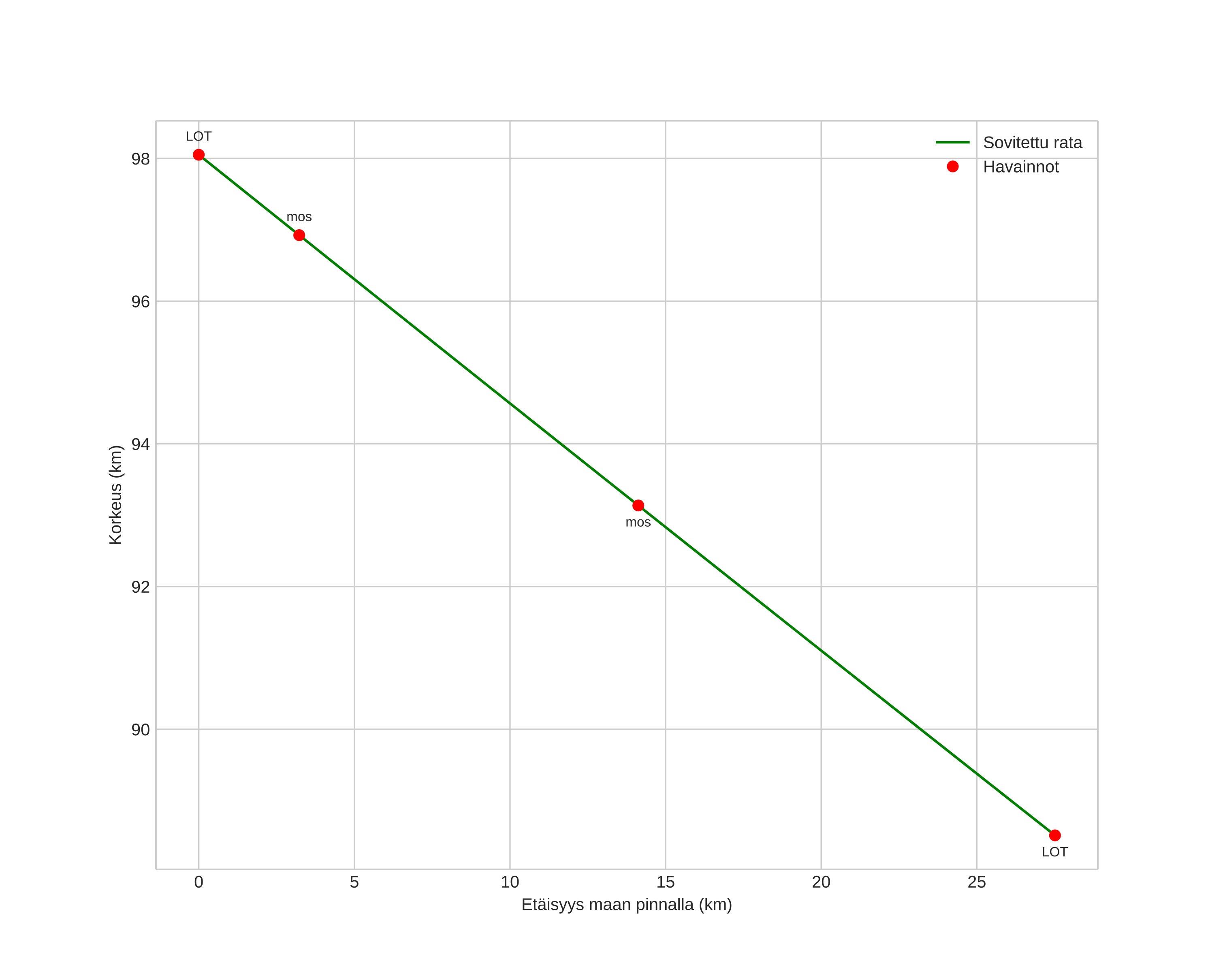
height profile
Meteorin ilmakehärata:
Alkukorkeus: 98,2 km
Loppukorkeus: 88,7 km
Alkupiste: 60,201N 9,130E
Loppupiste: 60,199N 8,598E
Suunta: 269,7°
Kallistuskulma: 17,9°
Tulonopeus: 32,8 km/s
Radiantin R,A,: 03:26 (51,7°)
Radiantin Dekl,: 13,4°
Meteoriparvi: Pohjoiset tauridit
Meteoroidin rataelementit:
Perihelietäisyys: 0,301 AU
Eksentrisyys: 0,872
Inklinaatio: 7,1°
Nousevan solmun pituus: 38,3°
Perihelin argumentti: 119,7°
Keskianomalia: 348,9°
Epookki: 2025 OCT 31 18:41:07
orbit plot

Ei-interaktiivinen kuvaaja | Interaktiivinen kuvaaja

position vs time
speed and acceleration

Loten (LOT) cam4


gnomonic
Videot:
• Gnomoninen
• Gnomoninen koordinaateilla
• Alkuperäinen
• Alkuperäinen koordinaateilla
Kuvat:
• Gnomoninen
• Gnomoninen koordinaateilla
• Alkuperäinen
• Alkuperäinen koordinaateilla
Tekstitiedostot:
• Havaintoraportti
• Observaatio
• Koordinaatit
• Loki
Kirkkaus

Moss (mos) cam6


gnomonic
Videot:
• Gnomoninen
• Gnomoninen koordinaateilla
• Alkuperäinen
• Alkuperäinen koordinaateilla
Kuvat:
• Gnomoninen
• Gnomoninen koordinaateilla
• Alkuperäinen
• Alkuperäinen koordinaateilla
Tekstitiedostot:
• Havaintoraportti
• Observaatio
• Koordinaatit
• Loki
Kirkkaus