🇳🇴 🇬🇧 🇩🇪 🇨🇿 🇫🇮

Meteor over Andenes 2025-10-31 21:31:37 UTC

KML-fil  |  Interaktivt kart

Kartet viser peilingene for meteoren. De lysere linjene viser retningene fra observasjonsstedene for meteorens tilsynekomst, og de mørkere linjene viser hvor den sist kunne sees. Den blå pila viser meteorens synlige ferd.

static map
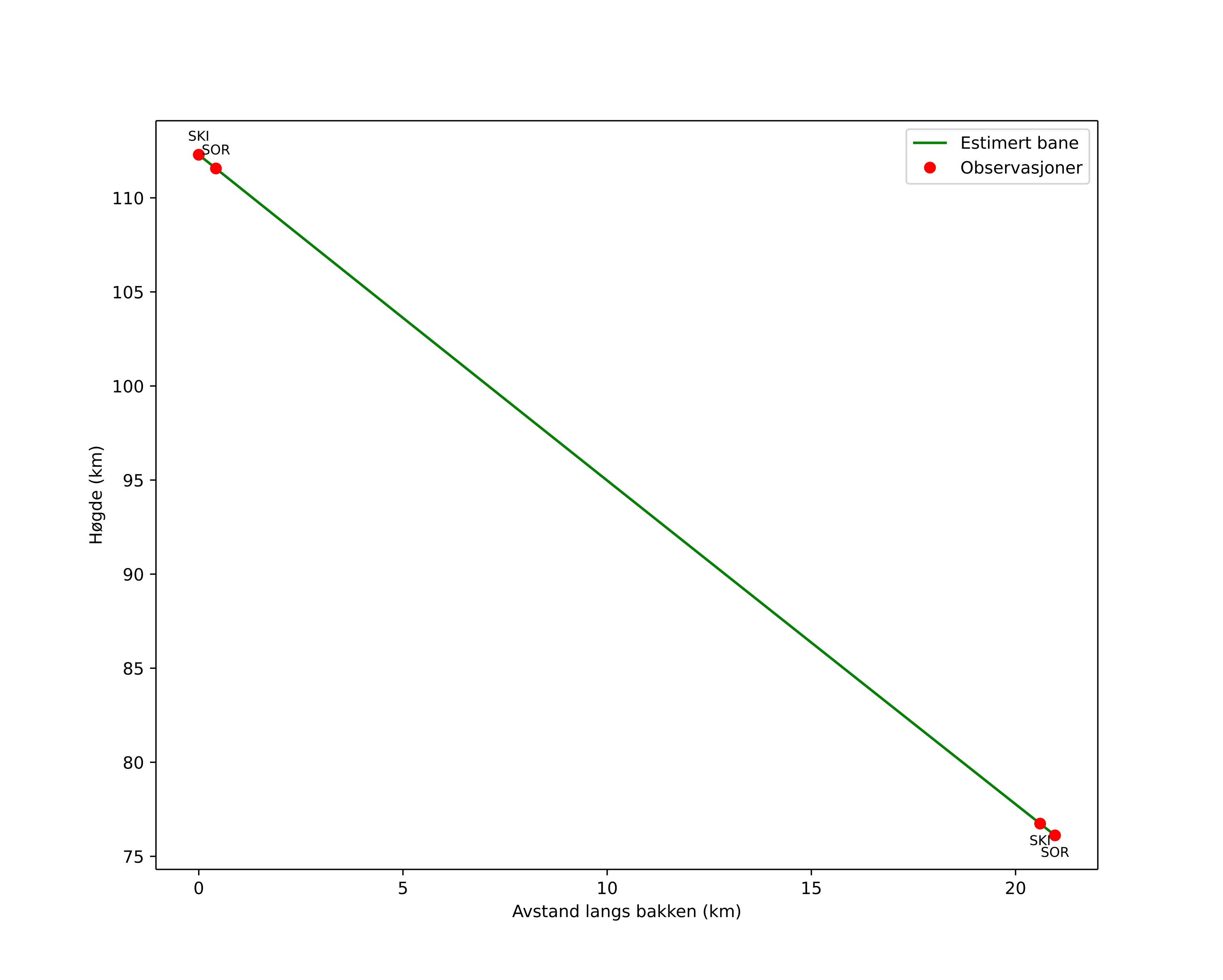
height profile
Meteorens atmosfæriske bane:
Starthøgde: 111,2 km
Slutthøgde: 73,8 km
Startposisjon: 71,686N 15,802E
Sluttposisjon: 71,525N 15,454E
Retning: 214,6°
Fallvinkel: 59,9°
Inngangshastighet: 51,0 km/s
Radiantens rektascensjon: 08:47 (131,8°)
Radiantens deklinasjon: 72,0°
Meteorsverm: sporadisk
Meteoroidens baneelement:
Perihelavstand: 0,916 AU
Eksentrisitet: 0,827
Inklinasjon: 89,0°
Knutelengde: 218,4°
Perihelargument: 213,9°
Midlere anomali: 358,1°
Epoke: 2025 OCT 31 21:31:37
orbit plot

Ikke-interaktivt plott | Interaktivt plott

position vs time
speed and acceleration

Skibotn (SKI) cam1


gnomonic
Videoer
• Gnomonisk
• Gnomonisk med koordinater
• Original
• Original med koordinater
Bilder
• Gnomonisk
• Gnomonisk med koordinater
• Original
• Original med koordinater
Tekstfiler
• Deteksjon
• Observasjon
• Koordinater
• Logg
Lysstyrke

Sorreisa (SOR) cam5


gnomonic
Videoer
• Gnomonisk
• Gnomonisk med koordinater
• Original
• Original med koordinater
Bilder
• Gnomonisk
• Gnomonisk med koordinater
• Original
• Original med koordinater
Tekstfiler
• Deteksjon
• Observasjon
• Koordinater
• Logg
Lysstyrke