🇳🇴 🇬🇧 🇩🇪 🇨🇿 🇫🇮

Meteor over Hansnes 2025-11-01 00:10:35 UTC

KML-fil  |  Interaktivt kart

Kartet viser peilingene for meteoren. De lysere linjene viser retningene fra observasjonsstedene for meteorens tilsynekomst, og de mørkere linjene viser hvor den sist kunne sees. Den blå pila viser meteorens synlige ferd.

static map
height profile
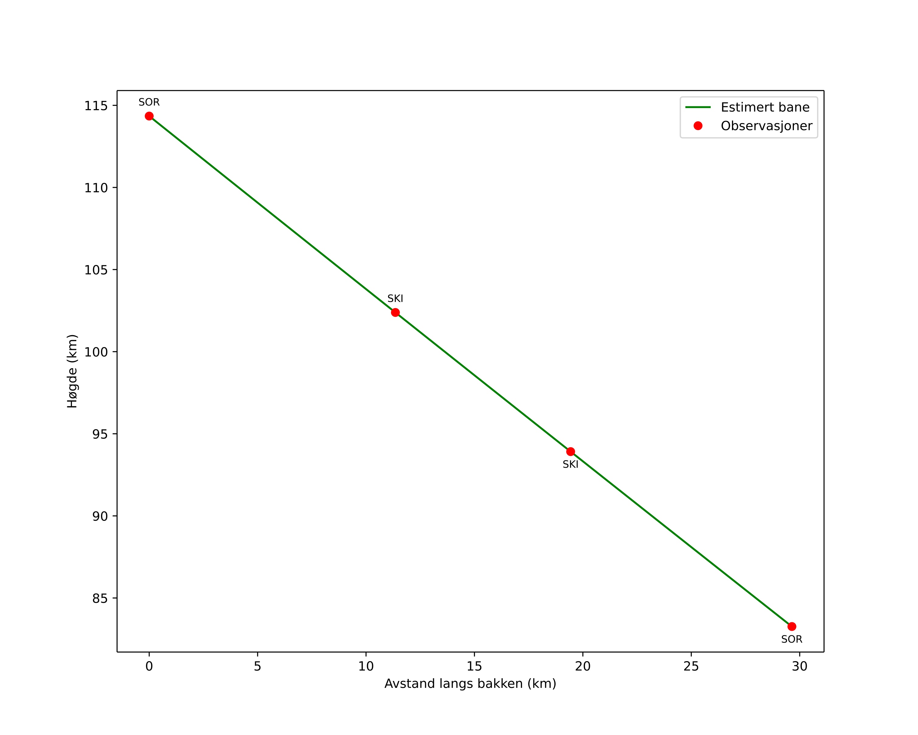
Meteorens atmosfæriske bane:
Starthøgde: 106,3 km
Slutthøgde: 93,1 km
Startposisjon: 70,439N 19,573E
Sluttposisjon: 70,388N 19,274E
Retning: 243,1°
Fallvinkel: 46,5°
Inngangshastighet: 60,8 km/s
Radiantens rektascensjon: 10:28 (157,2°)
Radiantens deklinasjon: 51,9°
Meteorsverm: sporadisk
Meteoroidens baneelement:
Perihelavstand: 0,968 AU
Eksentrisitet: 0,897
Inklinasjon: 113,1°
Knutelengde: 218,5°
Perihelargument: 161,2°
Midlere anomali: 0,5°
Epoke: 2025 NOV 01 00:10:35
orbit plot

Ikke-interaktivt plott | Interaktivt plott

position vs time
speed and acceleration

Skibotn (SKI) cam1


gnomonic
Videoer
• Gnomonisk
• Gnomonisk med koordinater
• Original
• Original med koordinater
Bilder
• Gnomonisk
• Gnomonisk med koordinater
• Original
• Original med koordinater
Tekstfiler
• Deteksjon
• Observasjon
• Koordinater
• Logg
Lysstyrke

Sorreisa (SOR) cam1


gnomonic
Videoer
• Gnomonisk
• Gnomonisk med koordinater
• Original
• Original med koordinater
Bilder
• Gnomonisk
• Gnomonisk med koordinater
• Original
• Original med koordinater
Tekstfiler
• Deteksjon
• Observasjon
• Koordinater
• Logg
Lysstyrke