🇳🇴 🇬🇧 🇩🇪 🇨🇿 🇫🇮

Meteor, poloha: Andenes 2025-11-01 00:30:32 UTC

Soubor KML  |  Interaktivní mapa

Mapa zobrazuje dráhy meteoru. Světlejší čáry ukazují směry od pozorovacích stanic při objevení se meteoru a tmavší čáry, kde byl naposledy viděn. Modrá šipka značí viditelnou dráhu meteoru.

static map
height profile
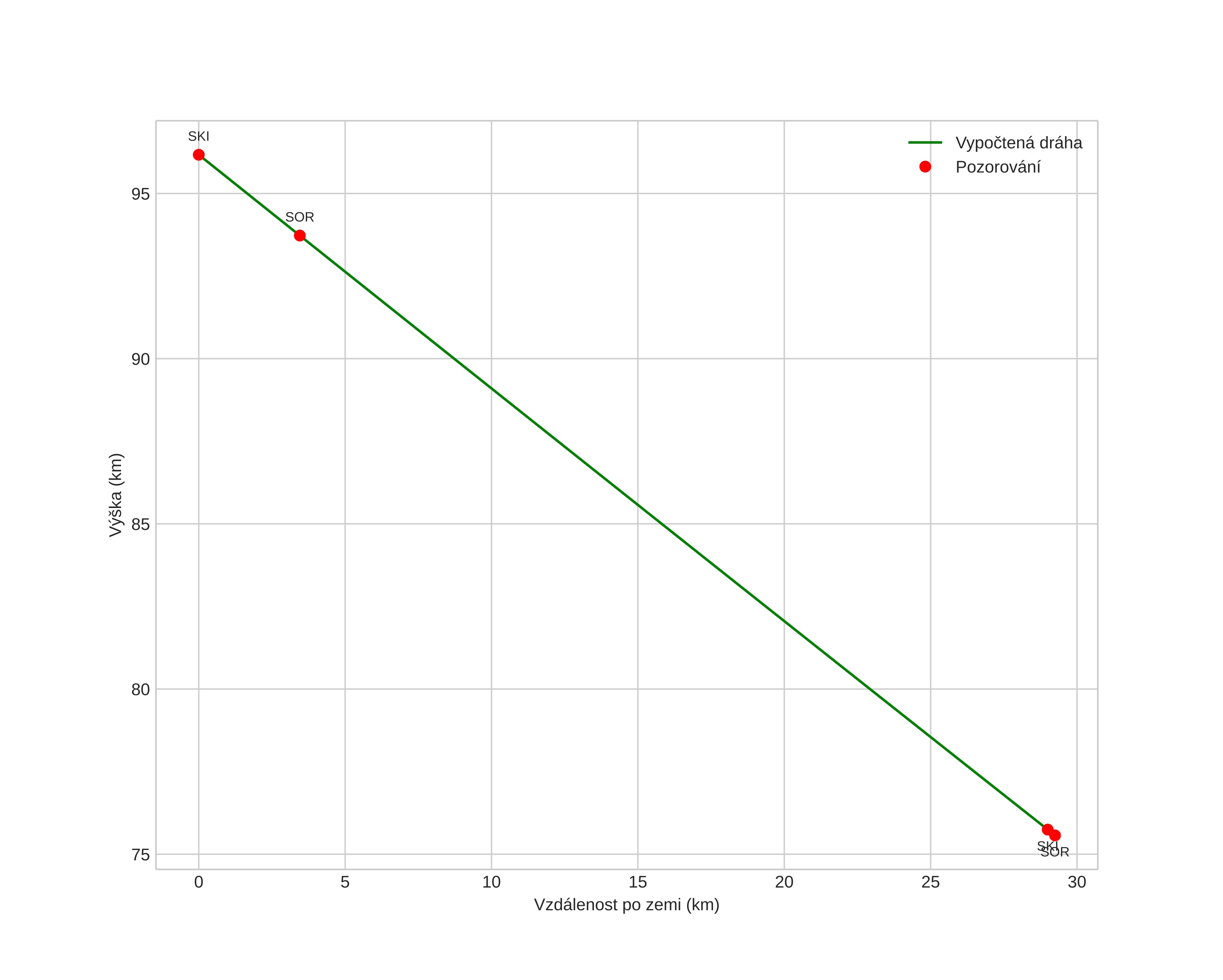
Atmosférická dráha meteoru:
Počáteční výška: 96,3 km
Konečná výška: 74,4 km
Počáteční poloha: 70,061N 14,998E
Konečná poloha: 70,330N 15,175E
Směr: 12,5°
Sklon: 35,6°
Vstupní rychlost: 32,3 km/s
Rektascenze radiantu: 03:27 (51,8°)
Deklinace radiantu: 14,1°
Meteorický roj: Jižní Tauridy
Elementy dráhy meteoroidu:
Vzdálenost v periheliu: 0,303 AU
Excentricita: 0,866
Sklon dráhy: 6,2°
Délka vzestupného uzlu: 38,5°
Argument perihelia: 119,8°
Střední anomálie: 348,1°
Epocha: 2025 NOV 01 00:30:32
orbit plot

Neinteraktivní graf | Interaktivní graf

position vs time
speed and acceleration