🇳🇴 🇬🇧 🇩🇪 🇨🇿 🇫🇮

Meteor over Lyngseidet 2025-11-01 01:26:22 UTC

KML-fil  |  Interaktivt kart

Kartet viser peilingene for meteoren. De lysere linjene viser retningene fra observasjonsstedene for meteorens tilsynekomst, og de mørkere linjene viser hvor den sist kunne sees. Den blå pila viser meteorens synlige ferd.

static map
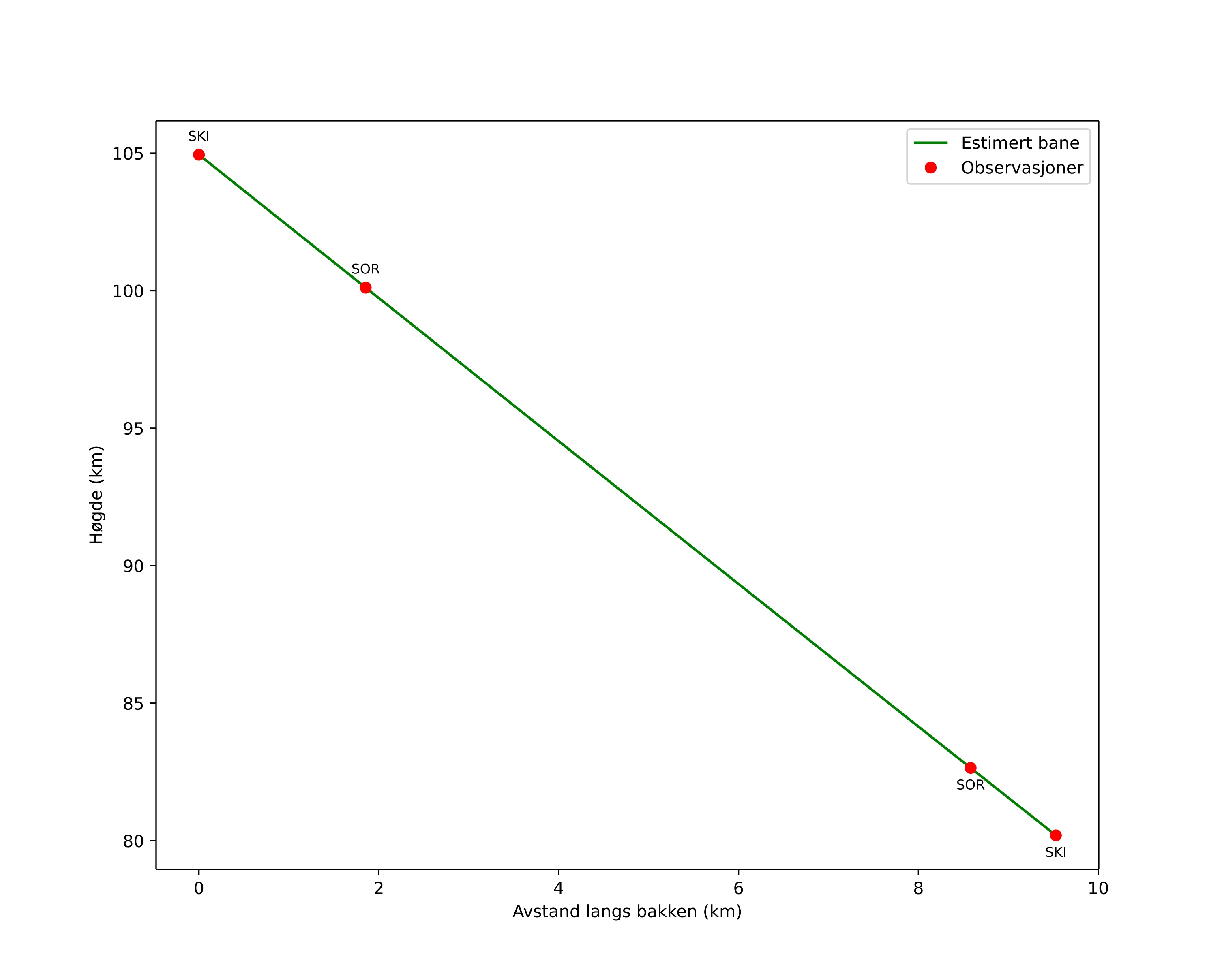
height profile
Meteorens atmosfæriske bane:
Starthøgde: 106,5 km
Slutthøgde: 74,3 km
Startposisjon: 69,730N 20,312E
Sluttposisjon: 69,623N 20,226E
Retning: 195,5°
Fallvinkel: 68,9°
Inngangshastighet: 44,2 km/s
Radiantens rektascensjon: 11:44 (176,2°)
Radiantens deklinasjon: 84,7°
Meteorsverm: sporadisk
Meteoroidens baneelement:
Perihelavstand: 0,956 AU
Eksentrisitet: 0,994
Inklinasjon: 70,1°
Knutelengde: 218,5°
Perihelargument: 202,1°
Midlere anomali: 360,0°
Epoke: 2025 NOV 01 01:26:22
orbit plot

Ikke-interaktivt plott | Interaktivt plott

position vs time
speed and acceleration

Skibotn (SKI) cam6


gnomonic
Videoer
• Gnomonisk
• Gnomonisk med koordinater
• Original
• Original med koordinater
Bilder
• Gnomonisk
• Gnomonisk med koordinater
• Original
• Original med koordinater
Tekstfiler
• Deteksjon
• Observasjon
• Koordinater
• Logg
Lysstyrke

Sorreisa (SOR) cam6


gnomonic
Videoer
• Gnomonisk
• Gnomonisk med koordinater
• Original
• Original med koordinater
Bilder
• Gnomonisk
• Gnomonisk med koordinater
• Original
• Original med koordinater
Tekstfiler
• Deteksjon
• Observasjon
• Koordinater
• Logg
Lysstyrke