🇳🇴 🇬🇧 🇩🇪 🇨🇿 🇫🇮

Meteor over Setermoen 2025-11-01 21:15:23 UTC

KML-fil  |  Interaktivt kart

Kartet viser peilingene for meteoren. De lysere linjene viser retningene fra observasjonsstedene for meteorens tilsynekomst, og de mørkere linjene viser hvor den sist kunne sees. Den blå pila viser meteorens synlige ferd.

static map
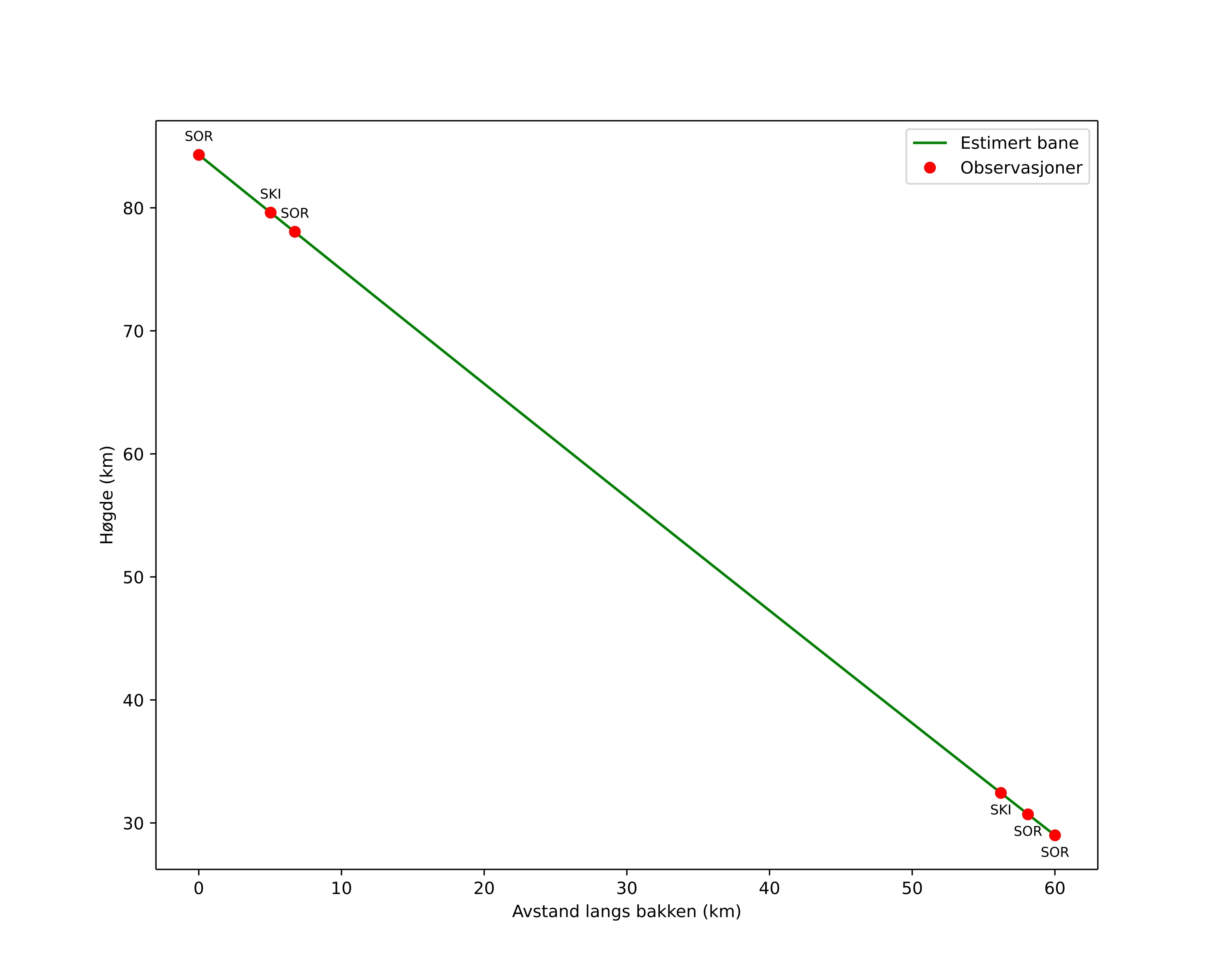
height profile
wind profile
Meteorens atmosfæriske bane:
Starthøgde: 84,3 km
Slutthøgde: 30,7 km
Startposisjon: 68,358N 18,240E
Sluttposisjon: 68,863N 18,610E
Retning: 14,8°
Fallvinkel: 42,7°
Inngangshastighet: 21,5 km/s
Radiantens rektascensjon: 00:22 (5,5°)
Radiantens deklinasjon: 17,5°
Meteorsverm: sporadisk
Meteoroidens baneelement:
Perihelavstand: 0,837 AU
Eksentrisitet: 0,962
Inklinasjon: 6,6°
Knutelengde: 219,3°
Perihelargument: 227,2°
Midlere anomali: 359,7°
Epoke: 2025 NOV 01 21:15:23
orbit plot

Ikke-interaktivt plott | Interaktivt plott

position vs time
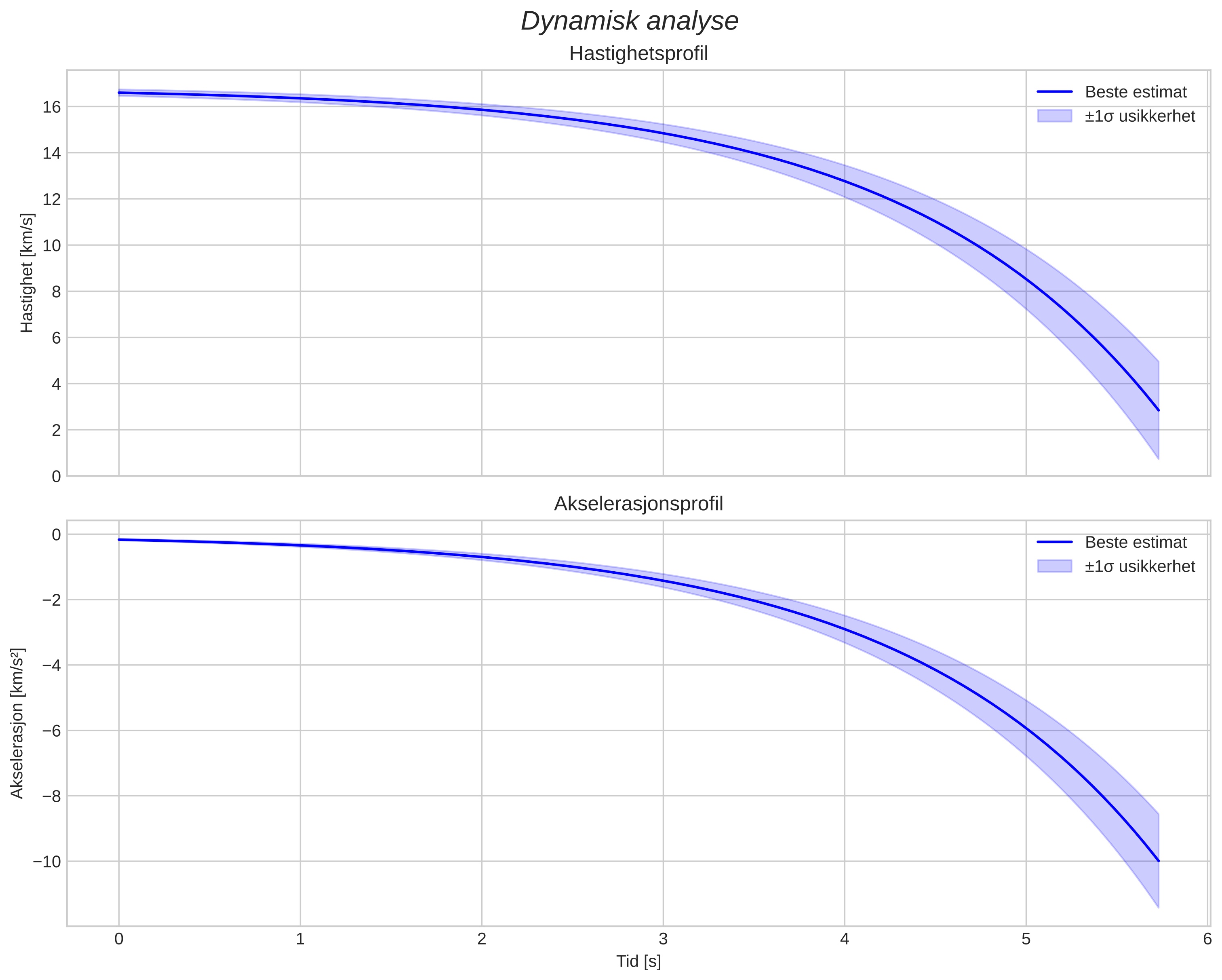
speed and acceleration

Skibotn (SKI) cam4


gnomonic
Videoer
• Gnomonisk
• Gnomonisk med koordinater
• Original
• Original med koordinater
Bilder
• Gnomonisk
• Gnomonisk med koordinater
• Original
• Original med koordinater
Tekstfiler
• Deteksjon
• Observasjon
• Koordinater
• Logg
Lysstyrke

Sorreisa (SOR) cam1


gnomonic
Videoer
• Gnomonisk
• Gnomonisk med koordinater
• Original
• Original med koordinater
Bilder
• Gnomonisk
• Gnomonisk med koordinater
• Original
• Original med koordinater
Tekstfiler
• Deteksjon
• Observasjon
• Koordinater
• Feilmeldinger
• Logg
Lysstyrke

Sorreisa (SOR) cam7


gnomonic
Videoer
• Gnomonisk
• Gnomonisk med koordinater
• Original
• Original med koordinater
Bilder
• Gnomonisk
• Gnomonisk med koordinater
• Original
• Original med koordinater
Tekstfiler
• Deteksjon
• Observasjon
• Koordinater
• Logg
Lysstyrke