🇳🇴 🇬🇧 🇩🇪 🇨🇿 🇫🇮

Meteor over Barkåker 2025-11-02 01:58:31 UTC

KML-fil  |  Interaktivt kart

Kartet viser peilingene for meteoren. De lysere linjene viser retningene fra observasjonsstedene for meteorens tilsynekomst, og de mørkere linjene viser hvor den sist kunne sees. Den blå pila viser meteorens synlige ferd.

static map
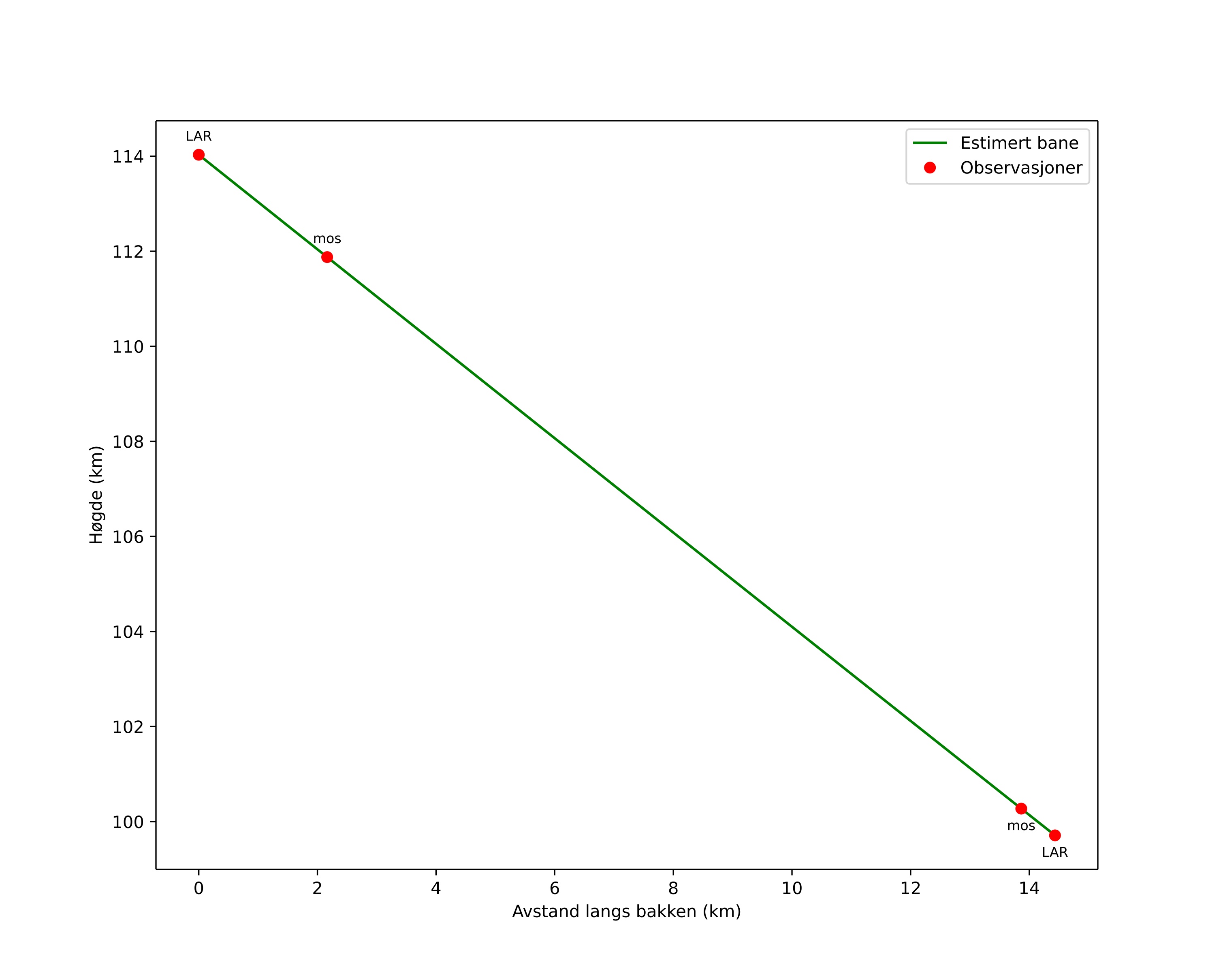
height profile
Meteorens atmosfæriske bane:
Starthøgde: 114,3 km
Slutthøgde: 99,4 km
Startposisjon: 59,390N 10,583E
Sluttposisjon: 59,327N 10,358E
Retning: 241,5°
Fallvinkel: 45,7°
Inngangshastighet: 53,5 km/s
Radiantens rektascensjon: 10:58 (164,5°)
Radiantens deklinasjon: 51,7°
Meteorsverm: sporadisk
Meteoroidens baneelement:
Perihelavstand: 0,915 AU
Eksentrisitet: 0,504
Inklinasjon: 104,0°
Knutelengde: 219,5°
Perihelargument: 140,2°
Midlere anomali: 12,0°
Epoke: 2025 NOV 02 01:58:31
orbit plot

Ikke-interaktivt plott | Interaktivt plott

position vs time
speed and acceleration

Larvik (LAR) cam6


gnomonic
Videoer
• Gnomonisk
• Gnomonisk med koordinater
• Original
• Original med koordinater
Bilder
• Gnomonisk
• Gnomonisk med koordinater
• Original
• Original med koordinater
Tekstfiler
• Deteksjon
• Observasjon
• Koordinater
• Logg
Lysstyrke

Moss (mos) cam7


gnomonic
Videoer
• Gnomonisk
• Gnomonisk med koordinater
• Original
• Original med koordinater
Bilder
• Gnomonisk
• Gnomonisk med koordinater
• Original
• Original med koordinater
Tekstfiler
• Deteksjon
• Observasjon
• Koordinater
• Logg
Lysstyrke