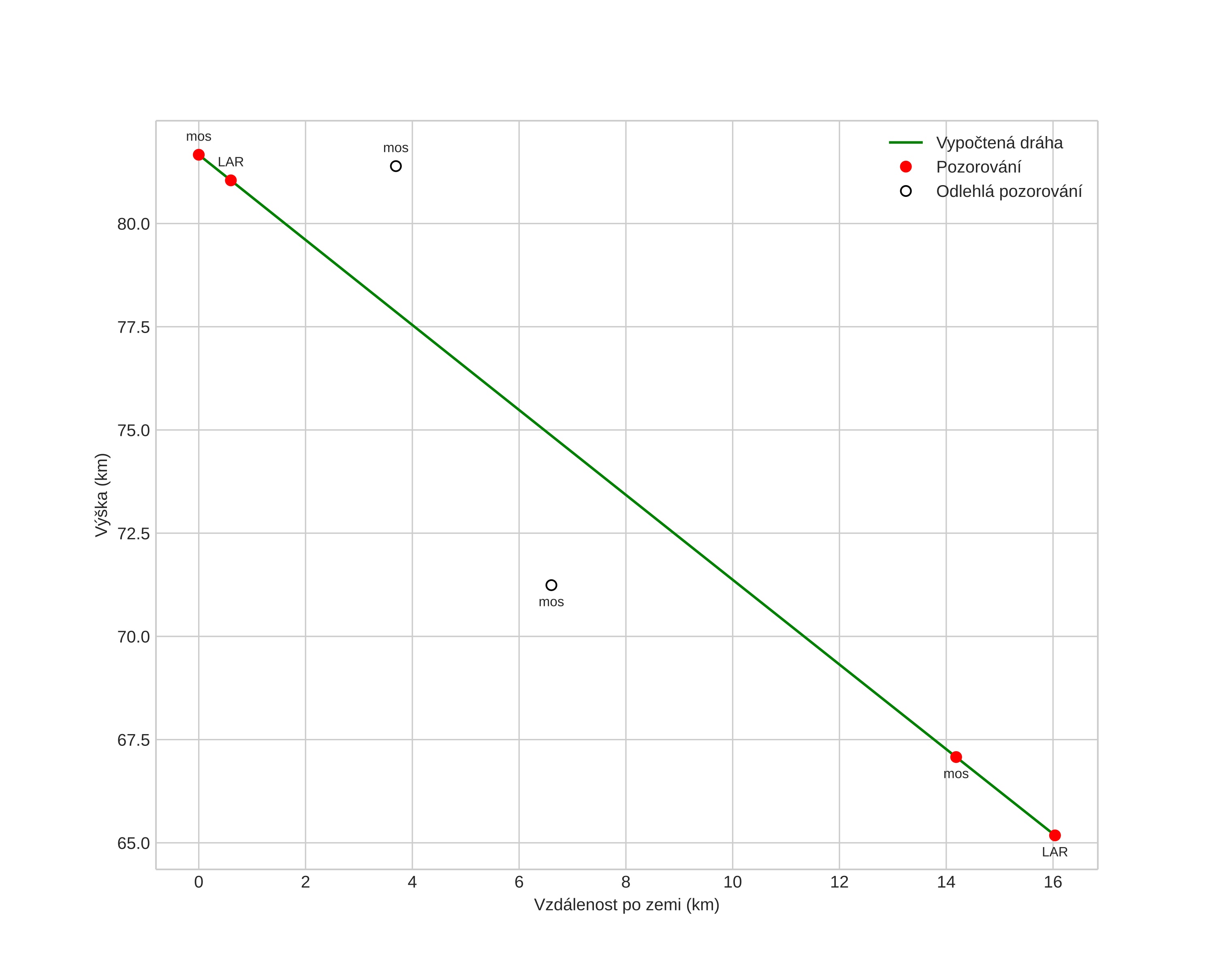
Atmosférická dráha meteoru:
| Počátečnà výška: | 82,6 km |
| Konečná výška: | 66,9 km |
| Počátečnà poloha: | 58,900N 12,545E |
| Konečná poloha: | 58,813N 12,335E |
| Směr: | 231,3° |
| Sklon: | 45,4° |
| VstupnĂ rychlost: | 52,4 km/s |
| Rektascenze radiantu: | 06:25 (96,4°) |
| Deklinace radiantu: | 56,6° |
| MeteorickĂ˝ roj: | sporadickĂ˝ |
|
Elementy dráhy meteoroidu:
| Vzdálenost v periheliu: | 0,491 AU |
| Excentricita: | 0,819 |
| Sklon dráhy: | 99,1° |
| Délka vzestupného uzlu: | 220,3° |
| Argument perihelia: | 277,1° |
| Střednà anomálie: | 350,4° |
| Epocha: | 2025 NOV 02 20:42:48 |
|