🇳🇴 🇬🇧 🇩🇪 🇨🇿 🇫🇮

Meteor over Dals LÃ¥nged 2025-11-02 20:42:48 UTC

KML-fil

Kartet viser peilingene for meteoren. De lysere linjene viser retningene fra observasjonsstedene for meteorens tilsynekomst, og de mørkere linjene viser hvor den sist kunne sees. Den blå pila viser meteorens synlige ferd.

static map
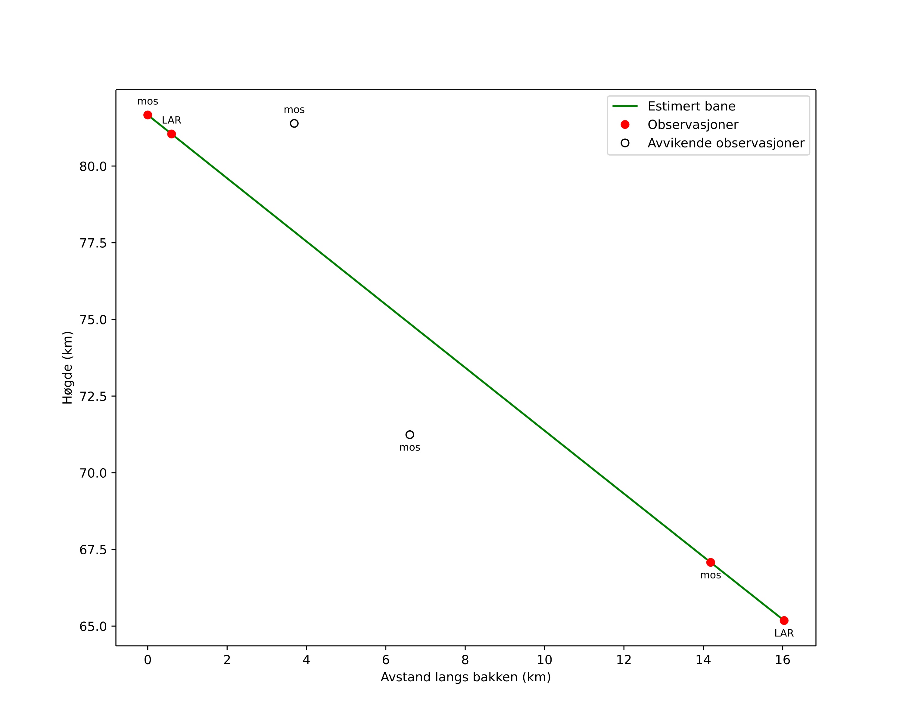
height profile
Meteorens atmosfæriske bane:
Starthøgde: 81,7 km
Slutthøgde: 65,2 km
Startposisjon: 58,903N 12,518E
Sluttposisjon: 58,816N 12,296E
Retning: 232,9°
Fallvinkel: 45,8°
Inngangshastighet: 52,5 km/s
Radiantens rektascensjon: 06:17 (94,4°)
Radiantens deklinasjon: 56,1°
Meteorsverm: sporadisk
Meteoroidens baneelement:
Perihelavstand: 0,470 AU
Eksentrisitet: 0,840
Inklinasjon: 98,7°
Knutelengde: 220,3°
Perihelargument: 278,7°
Midlere anomali: 351,7°
Epoke: 2025 NOV 02 20:42:48
orbit plot

Ikke-interaktivt plott

position vs time
speed and acceleration

Larvik (LAR) cam2


gnomonic
Videoer
• Gnomonisk
• Gnomonisk med koordinater
• Original
• Original (HEVC)
• Original med koordinater
Bilder
• Gnomonisk
• Gnomonisk med koordinater
• Original
• Original med koordinater
Tekstfiler
• Deteksjon
• Observasjon
• Koordinater
• Logg
Lysstyrke

Moss (mos) cam3


gnomonic
Videoer
• Gnomonisk
• Gnomonisk med koordinater
• Original
• Original (HEVC)
• Original med koordinater
Bilder
• Gnomonisk
• Gnomonisk med koordinater
• Original
• Original med koordinater
Tekstfiler
• Deteksjon
• Observasjon
• Koordinater
• Logg
Lysstyrke

Moss (mos) cam7


gnomonic
Videoer
• Gnomonisk
• Gnomonisk med koordinater
• Original
• Original (HEVC)
• Original med koordinater
Bilder
• Gnomonisk
• Gnomonisk med koordinater
• Original
• Original med koordinater
Tekstfiler
• Deteksjon
• Observasjon
• Koordinater
• Logg
Lysstyrke