🇳🇴 🇬🇧 🇩🇪 🇨🇿 🇫🇮

Meteor Kautokeinon yllä 2025-11-03 22:47:36 UTC

KML-tiedosto  |  Interaktiivinen kartta

Kartta näyttää meteorin suuntahavainnot. Vaaleammat viivat näyttävät suunnat havaintoasemilta meteorin ilmestyessä, ja tummemmat viivat näyttävät, missä se viimeksi nähtiin. Sininen nuoli näyttää meteorin näkyvän lennon.

static map
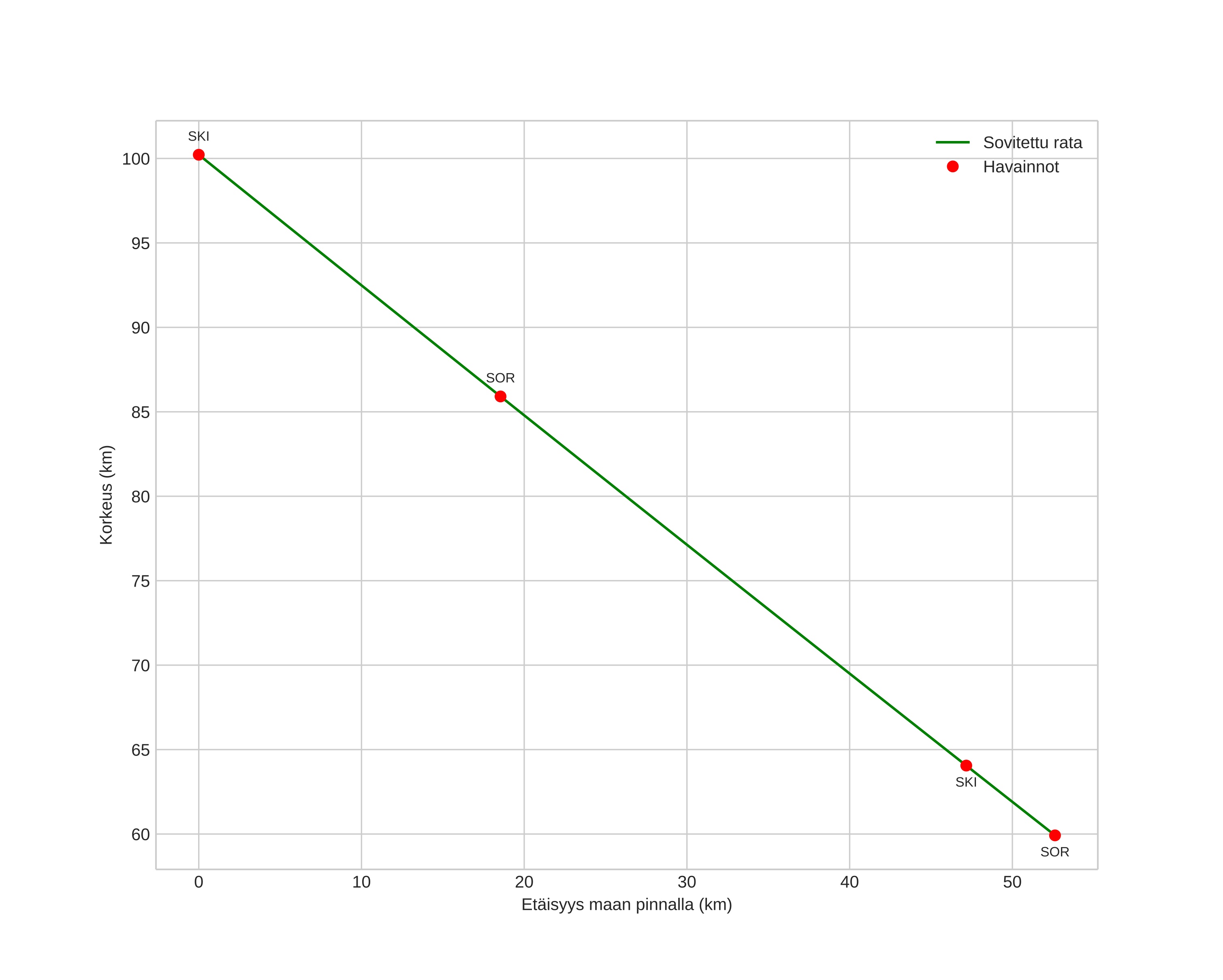
height profile
Meteorin ilmakehärata:
Alkukorkeus: 99,3 km
Loppukorkeus: 59,1 km
Alkupiste: 68,933N 23,193E
Loppupiste: 69,396N 23,078E
Suunta: 355,0°
Kallistuskulma: 37,9°
Tulonopeus: 32,7 km/s
Radiantin R,A,: 03:27 (51,9°)
Radiantin Dekl,: 15,0°
Meteoriparvi: Pohjoiset tauridit
Meteoroidin rataelementit:
Perihelietäisyys: 0,331 AU
Eksentrisyys: 0,889
Inklinaatio: 4,8°
Nousevan solmun pituus: 41,4°
Perihelin argumentti: 114,5°
Keskianomalia: 352,3°
Epookki: 2025 NOV 03 22:47:36
orbit plot

Ei-interaktiivinen kuvaaja | Interaktiivinen kuvaaja

position vs time
speed and acceleration

Skibotn (SKI) cam2


gnomonic
Videot:
• Gnomoninen
• Gnomoninen koordinaateilla
• Alkuperäinen
• Alkuperäinen koordinaateilla
Kuvat:
• Gnomoninen
• Gnomoninen koordinaateilla
• Alkuperäinen
• Alkuperäinen koordinaateilla
Tekstitiedostot:
• Havaintoraportti
• Observaatio
• Koordinaatit
• Loki
Kirkkaus

Sorreisa (SOR) cam2


gnomonic
Videot:
• Gnomoninen
• Gnomoninen koordinaateilla
• Alkuperäinen
• Alkuperäinen koordinaateilla
Kuvat:
• Gnomoninen
• Gnomoninen koordinaateilla
• Alkuperäinen
• Alkuperäinen koordinaateilla
Tekstitiedostot:
• Havaintoraportti
• Observaatio
• Koordinaatit
• Loki
Kirkkaus