🇳🇴 🇬🇧 🇩🇪 🇨🇿 🇫🇮

Meteor, poloha: Abborrberget 2025-11-07 23:07:35 UTC

Soubor KML  |  Interaktivní mapa

Mapa zobrazuje dráhy meteoru. Světlejší čáry ukazují směry od pozorovacích stanic při objevení se meteoru a tmavší čáry, kde byl naposledy viděn. Modrá šipka značí viditelnou dráhu meteoru.

static map
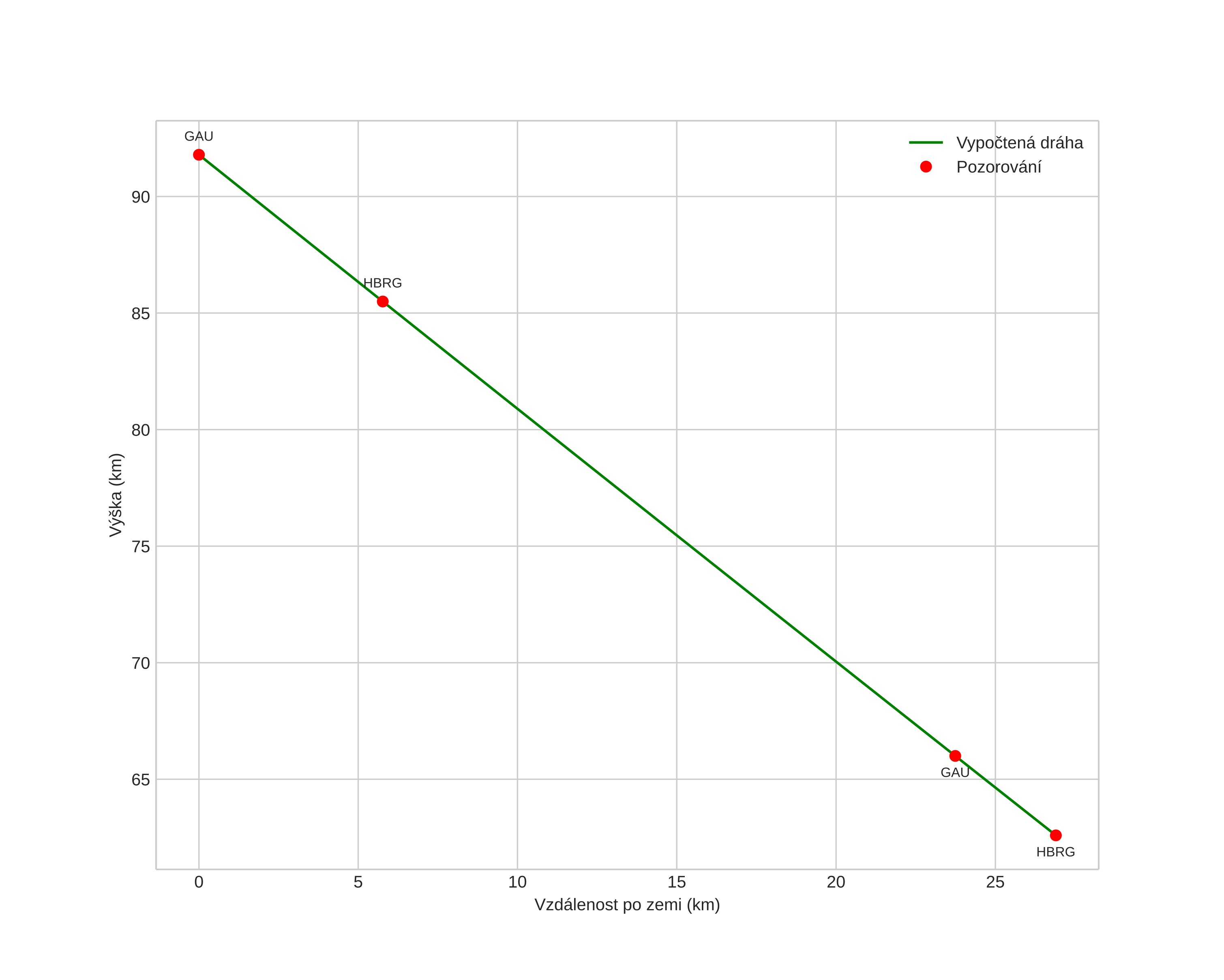
height profile
Atmosférická dráha meteoru:
Počáteční výška: 91,8 km
Konečná výška: 62,6 km
Počáteční poloha: 59,969N 14,590E
Konečná poloha: 60,208N 14,512E
Směr: 350,8°
Sklon: 47,3°
Vstupní rychlost: 31,3 km/s
Rektascenze radiantu: 03:38 (54,7°)
Deklinace radiantu: 15,9°
Meteorický roj: Jižní Tauridy
Elementy dráhy meteoroidu:
Vzdálenost v periheliu: 0,363 AU
Excentricita: 0,863
Sklon dráhy: 4,1°
Délka vzestupného uzlu: 45,5°
Argument perihelia: 111,6°
Střední anomálie: 350,5°
Epocha: 2025 NOV 07 23:07:35
orbit plot

Neinteraktivní graf | Interaktivní graf

position vs time
speed and acceleration